On 2020-03-15 00:18:47, user Kenny Day wrote:
Does anyone understand the comments in the paper concerning 5-florouracil? Is this implying that a common chemo drug could drive negative selection?
On 2020-03-15 00:18:47, user Kenny Day wrote:
Does anyone understand the comments in the paper concerning 5-florouracil? Is this implying that a common chemo drug could drive negative selection?
On 2020-03-14 17:28:55, user Michael Cohen wrote:
The in-frame CGGCGGGCACGT<br /> insertion in the Covid-19 genome adds RRAR to the boundary between the <br /> S1 and S2 regions of the spike protein sequence. This insertion is <br /> followed by a serine, which thus introduces RARS that functions as a proteolytic cleavage<br /> site in some group II coronaviruses (see footnote 25 in Rota et al., 2003). <br /> If functional, addition of such a cleavage site may enhance the entry of<br /> Covid-19 viruses into cells (Kam et al., 2009).
Rota et al., 2003 https://science.sciencemag....
Kam et al., 2009 https://journals.plos.org/p...
On 2020-03-15 00:06:24, user Irene Kung wrote:
Have you immobilized it onto a substrate yet? If so, how much does that reduce the affinity of 47D11 for its target? Any flow cytometry data?
On 2020-03-14 15:35:20, user Mariano Silva wrote:
Awesome discovery!!! We can only hope that the effectiveness of the anti-viral is enough to stop the propagation of the virus, allowing the body to fight back.
On 2020-03-14 09:37:19, user XYZ wrote:
monoclonal antibody: https://en.wikipedia.org/wi...<br /> glycoprotein: https://en.wikipedia.org/wi...<br /> spikes: https://www.nature.com/arti...<br /> Angiotensin-converting enzyme: https://en.wikipedia.org/wi...<br /> https://en.wikipedia.org/wi...<br /> https://en.wikipedia.org/wi...<br /> https://en.wikipedia.org/wi...<br /> https://en.wikipedia.org/wi...<br /> A chimeric antibody is an antibody made by combining genetic material from a nonhuman source, like a mouse, with genetic material from a human being. These antibodies are generally around two thirds human, reducing the risk of a reaction to foreign antibodies from a non-human animal when they are used in therapeutic treatments.<br /> https://en.wikipedia.org/wi...<br /> VSV: https://en.wikipedia.org/wi...<br /> Vero cell: https://en.wikipedia.org/wi...<br /> IC50: https://en.wikipedia.org/wi...
On 2020-03-14 16:50:26, user PHIL D wrote:
How can it be ensured when and where these folks collected these samples and from what sources?
On 2020-02-13 10:30:00, user lucky micky wrote:
23602...23613 of covid-19 (TCCTCGGCGGGC) looks like a insert of RaTG13 at 23584, which turns to a RRAR furin protein point.
On 2020-02-13 10:14:43, user lucky micky wrote:
MN996532.1 <br /> This is the virus Bat coronavirus RaTG13 GenBank
On 2020-03-14 16:10:30, user zahid wrote:
Now published in Bulletin of Mathematical Biology doi.org/10.1007/s11538-020-...
On 2020-03-14 00:03:45, user Wayne Thogmartin wrote:
World Wildlife Fund-Mexico just announced a 2.83 ha estimate of overwinter area occupied by the eastern monarch butterfly population in Mexico this winter (2019-2020). This estimate means that the population falls below the 4.0 ha threshold necessary to support the contention that the population has significantly increased since 2013. The population appears to be bouncing around a level below the 6.0 ha goal level established by Canada, US, and Mexico, and is not at this time credibly increasing in abundance.
On 2020-03-13 21:30:45, user Ray Cui wrote:
The correlation between genome size and zoonticity should be performed in a phylogenetic general linear regression (pgls) framework. A t test is likely going to drastically inflate the false positive rate due to pseudoreplication caused by phylognetic non-independence.
On 2020-03-13 19:09:34, user Omar Hernando Avila-Poveda wrote:
current version now published, is very so good, congratulations:
https://www.frontiersin.org...
Front. Microbiol., 27 February 2020
On 2020-03-13 16:30:51, user Abdullah wrote:
We will appreciate quality comments on our article.
On 2020-03-13 10:11:47, user sc wrote:
Our results are complete opposite as we see priming of innate immune response by DSF treatment and then other pamp like Flg22. The priming effect is strong. The concentration of DSF and the different versions of DSF also has a effect and imp to have controls. We have DSF expressing plants they do not show sterol related phenotype in fact they are betetr against pathogen infection and exhibit reduced disease symptoms.
On 2020-03-13 08:53:14, user yunxiang wrote:
The outgroup should be added in the tree. The bat virus (BetaCoV/bat/Yunnan/RaTG13/2013) is good as the outgroup .
On 2020-03-13 06:05:23, user David wrote:
What does this even mean? Makes no sense.
On 2020-03-13 08:28:53, user Jeffrey Ross-Ibarra wrote:
Cool! Might also check out the paper by Bradburd et al. that takes a similar look at environment and genetic structure using a different approach: https://onlinelibrary.wiley...
On 2020-03-13 05:06:06, user Miranda Fischer wrote:
Notice the three missing amino acids just before the SP-AA sequence? The actual sequence is SY?NSPAAR?. Which aligns well with the SYHTASILR domain of the ZXC45 and ZXC21 viruses below. There were 4 amino acids missing within the alleged natural site. No real insertions. The result of a low quality genome being used for BLAST analysis. This is simply an artifact of BLAST search mistakenly aligning sequences between distantly related genomes. To confirm this, take the same site and do a blastn on the exact same site and see that the more distantly related viruses showing “alignment” within the 12nt insertion site. <br /> Please revise your method of using BLAST before publishing<br /> NOT PEER REVIEWED
On 2020-03-13 02:18:09, user Rhys Grinter wrote:
Could the authors comment on the lack of electron density corresponding to the benzyl ring in the P1' portion of the N3 inhibitor in their structure? It doesn't appear to be addressed in the manuscript.
On 2020-03-12 22:11:12, user Ruth Müller wrote:
Please note, that this approach has been already applied in our study Wieser et al 2019 Modelling seasonal dynamics, population stability and pest control in aedes japonicus. P & V
On 2020-03-12 21:38:53, user Rob Ferguson wrote:
This paper does an excellent job. Goes without saying this is important data that is highly useful for developing strategies for limiting aerosol transmission of SARS-CoV-2. The bi-modal size distribution of SARS-CoV-2 aerosols is interesting. I agree, the super-micron particles are likely associated with dust and indicate formation of a secondary aerosol. The only thing I would caution is that we have found pre-sterilised gelatin filters to contain bacterial DNA ( https://doi.org/10.1111/175... ) but I do not think this is an issue in this case as you are using ddPCR to specifically detect SARS-CoV-2. Great job.
On 2020-03-12 20:59:02, user Qing wrote:
This is great! It's like one stop shopping for cancer variants!
On 2020-03-12 18:35:01, user Erik Snapp wrote:
Please see the related manuscript by our collaborators, the Papa Lab at UCSF. <br /> doi: https://doi.org/10.1101/562306
On 2020-03-12 18:27:56, user Herve Celia wrote:
Is there a mistake in Fig2? From the legend the blue subdomain in panel B should be the labile subdomain, but on the figure it is labeled as non-labile?
On 2020-03-12 10:25:45, user Matt Hodgkinson wrote:
I was asked to comment on this by Richard Van Noorden for this Nature piece: Hundreds of scientists have peer-reviewed for predatory journals doi: 10.1038/d41586-020-00709-x. It’s useful to study the peer review of potentially predatory journals, especially as this is one of the factors that people are most concerned about with these journals. The recent consensus definition that the authors cite (and which I co-authored with some of them) deliberately left out peer review quality because measuring this is presently too subjective, and this kind of research helps fill that gap. Taking advantage of Publons data is innovative.
I'm not surprised that reviewers for potentially predatory journals are more likely to be from lower-income countries. These journals are often essentially local journals masquerading as international journals. Also, this matches the demographics of their authorship and they will likely ask past authors to review for them (as do reputable journals), though we cannot check this because prior publication by the reviewers in potentially predatory journals was not assessed and those data are not available.
The search found only 5.2 reviews per potentially predatory journal versus 27.7 reviews per reputable journal, showing a clear under-representation of potential predators - however, this might be confounded by the publication volumes of these journals. Even when deliberately enriching for potentially predatory journals (half their sample), the authors still found that 90% of reviewers had never posted a review to Publons for a potential predator, which is somewhat comforting. That number cannot be generalized as "10% of reviewers have reviewed for a predatory journal": a representative sample of journals or researchers would likely show a much lower proportion reviewing for potentially predatory journals. Cabell's may have required confidentiality to allow use of their list, but without the data being available it's not clear whether there is a skew in the number of reviews for potentially predatory journals, i.e. were some much more represented than others?
Finding some potential predators had claimed reviews does not indicate that they necessarily conduct peer review as most researchers would recognise it - the authors point to several previous examples of evidence of superficial review and this is what Richard found too when speaking to such reviewers. They are likely going through the motions and using these reviewers as a fig leaf, what I've previously referred to as a "cargo cult". Those who are happy with the process may not know any better, especially if they have no experience of high-quality peer review in a reputable journal, either as an author or as a peer reviewer.
Table 1 gives some interesting insights, though I'd have liked to see a formal statistical analysis of the predictors of frequency of reviewing for potentially predatory journals. The most senior reviewers either did no reviews for potential predators or only did a few - those who did none were less prolific in both their reviewing and publishing than those who did a few; that may be a numbers game (fewer reviews means fewer chances to be caught out) or not reviewing for potential predators may be an indication of better judgment. At the other end of the scale, those with many potentially predatory reviews had a substantially higher rate of reviewing (4.5 times higher than than with no reviews for potentially predatory journals), but they were much more junior and had a much lower publication rate - these researchers appear to be inexperienced and reviewing indiscriminately. However, junior researchers can and do provide high-quality reviews (Evans et al. The characteristics of peer reviewers who produce good-quality reviews. J Gen Intern Med 8, 422–428 (1993). DOI:10.1007/BF02599618), which makes it difficult in practice to use such demographics as a proxy for peer review quality. That said, reviewers appearing to be over-committed could be a useful proxy for low quality. Sites such as Publons that have reviewer leaderboards may be unwittingly gamifying peer review, rewarding volume over high-quality scholarly engagement - so kudos to them for shining a light on the problem (Publons responded to that point in Richard’s piece by noting that they only include reviews for journals in Web of Science in their leaderboards).
The geographical information was only available for 56% of reviewers, but the results are unsurprising as I noted above. A comparison to the demographics of the 6,611 reviewers who never posted a review for a potentially predatory journal to Publons should have been included as a control analysis. The authors estimate that the reviewers of potentially predatory journals collectively took 30,000 hours to complete the reviews, but that assumes that the time taken to review in reputable journals is generalizable to reviewers who do dozens of reviews for potential predators. I would bet these reviewers are not so diligent.
On 2020-03-11 22:35:54, user SRIDHAR MANI wrote:
This paper is now published in full format Open Access (final) here:
On 2020-03-11 17:48:57, user Rajesh Kumar Singh wrote:
Excellent and informative manuscript "Detection of HER2 expression and its structural alterations in gastric cancer tissues infected with cagA+ H. pylori"
On 2020-03-11 17:23:16, user Debra Hansen wrote:
Terrific paper, great work. Since obtaining structures of membrane proteins is much more difficult than most soluble proteins, including the following technical details in the final publication will be helpful to the research community. (1)How membrane proteins migrate in gels and how well they transfer in Westerns are affected by the compositions of loading buffer, running buffers, transfer buffer; acrylamide concentration (stacking & separating gel). These details seem trivial for most papers, but are important for working with membrane proteins. (2)Exact location of the His-tag in the sequence. His-tags are often not included in the FASTA sequence when the structure is entered into the Protein Data Bank. The His-tag was placed at the "N-terminus", but it can't be at the very N-terminus, since the signal peptide is cleaved in PilQ.
On 2020-03-11 11:56:46, user Alexei Tsygvintsev wrote:
The manuscript will appear in J Proteins Proteom (2020). https://doi.org/10.1007/s42...
A view only link to article: https://rdcu.be/b2WBQ
On 2020-03-11 03:02:04, user V Zenkov wrote:
Summary of the paper:
The authors propose a new deep learning framework, NetFLICS-CR, which speeds up hyperspectral lifetime imaging. It is an extension of a previous product, NetFLICS (from https://arxiv.org/abs/1711..... Both strategies use single-pixel imaging, which is typically based on an inverse problem that reconstructs 2D images from measurements featuring a series of patterns. They speed up the process using compression sensing. NetFLICS is 4 orders of magnitude faster than the previous solution and requires less photons, but it has a compression ratio of 50% for 32x32 images. NetFLICS-CR improves by staying fast, and works on 128x128 images. For perspective, NetFLICS-CR reduces the acquisition time from 2.5 hours at 50% compression to 3 minutes at 99% compression while using a single-pixel Hyperspectral Macroscopic Fluorescence Lifetime Imaging (HMFLI) system.
Comments:
is there a reference for TVRecon? There is a summary in the supplement, perhaps it should be referenced in the text.
there should be a consistent numbers of iterations. Why are there sometimes only five? Some justification would be appreciated.
it would be very helpful to have the code on GitHub for reusability.
what are the limitations of this research?
Figures 1,2,3,4: The legends would benefit from having summary sentences and conclusions. (The current legends only guide the reader to what is in the figure.)
Figures 1,3: If the paper is printed in gray scale, the lines in the graphs look largely similar.
Figure 1b: What are the units? Also, why is mean absolute error (MAE) used instead of mean squared error (MSE)? Mean squared error is traditional, as far as I know.
Figure 1b: The top right of both graphs shows a "zoomed in" view of the bottom right rectangles. However, it is not immediately clear that that is what is happening because the rectangles have different proportions. One way to help would be to add numbers on the axes to show that the epoch number / MAE are "zoomed in".
Figure 1b: It could help to add the title "compression ratios" next to the compression ratios at the top of the figure.
Figure 1b: The legend could say "six different compression ratios" to be even clearer.
Page 2: The text below Figure 1b defines Compression Ratios as #acquired patterns / #full patterns, but the examples in the text are instead the ratio (#full patterns - #acquired patterns) / #full patterns. I believe the latter is used throughout the paper.
Figure 2b, especially the top graph: The legend may be confusing because all the lines seem to overlap, with the only visible color in the graph being yellow. This might be fixable with smaller points.
Only one metric was used (Structural Similarity Index Metric) in the paper, which could lead to bias. The optimization is then based on the same metric used to assess the performance of the model, which could be biased toward that metric. Having multiple metrics / measures of performance could help remove this possible bias.
Figure 3c: I would find 3 panels easier to read than the 3D graph.
Figure 3c: P and I/R are labeled backwards.
Figure 3c: The legend says NetFLICS, but it seems like it should say NetFLICS-CR. (This is confusing because NetFLICS is also a thing!) The legend says "per CR" and that would make more sense in the context of the paper.
Figure 4a: Next to the red images, why is External CCD turned 90 degrees to the left while other text in the figure is turned 90 degrees to the right? If all the text is turned in the same direction then it will be more consistent.
Figure 4b: TVRecon and NetFLICS-CR are not next to each other in the graph, which makes it difficult to compare them.
Figure 4b: Why is this the only figure with error bars?
There is no actual labeled conclusion section - the conclusion begins with "in conclusion" in the text. Having a set-off conclusion section would make it easier for someone to quickly read the conclusion.
On 2020-03-11 02:09:46, user Gene Godbold wrote:
See also: https://www.sciencedirect.c...
On 2020-03-07 16:02:19, user ani1977 wrote:
I was looking into this Spike glycoprotein (sp|P0DTC2) sequence in pre-release proteome of 2019-nCoV Wuhan Coronavirus [1] . This sequence when aligned with BLAST against nucleotide database NCBI [2] shows a peptide insert PRRA with respect to Bat coronavirus RaTG13 [3]. Further, the last couple of residues in this insert appear as IL and and VL in Bat SARS-like coronavirus [4] and Recombinant coronavirus clone [5] respectively. However, the SARS coronavirus https://www.ncbi.nlm.nih.go... has either LL ending or completely missing this peptide as in https://www.ncbi.nlm.nih.go... GDH-BJH01, so is this the "furin cleavage site"?
[1] 2019-nCoV Wuhan Coronavirus protein sequences, (n.d.). ftp://ftp.uniprot.org/pub/d... (accessed March 7, 2020).<br /> [2] S.F. Altschul, W. Gish, W. Miller, E.W. Myers, D.J. Lipman, Basic local alignment search tool, J. Mol. Biol. 215 (1990) 403–410. https://doi.org/10.1006/jmb....<br /> [3] Bat coronavirus RaTG13, complete genome - Nucleotide - NCBI, (n.d.). https://www.ncbi.nlm.nih.go... (accessed March 7, 2020).<br /> [4] D. Hu, C. Zhu, L. Ai, T. He, Y. Wang, F. Ye, L. Yang, C. Ding, X. Zhu, R. Lv, J. Zhu, B. Hassan, Y. Feng, W. Tan, C. Wang, Genomic characterization and infectivity of a novel SARS-like coronavirus in Chinese bats, Emerg. Microbes Infect. 7 (2018) 154. https://doi.org/10.1038/s41....<br /> [5] M.M. Becker, R.L. Graham, E.F. Donaldson, B. Rockx, A.C. Sims, T. Sheahan, R.J. Pickles, D. Corti, R.E. Johnston, R.S. Baric, M.R. Denison, Synthetic recombinant bat SARS-like coronavirus is infectious in cultured cells and in mice, Proc. Natl. Acad. Sci. U. S. A. 105 (2008) 19944–19949. https://doi.org/10.1073/pna....
On 2020-03-04 15:03:44, user Jackie wrote:
Congratulations to your great finding in your recent paper<br /> Unfortunately we reported this mutation and the furin cleavage site on 21th,Jan on researchgate<br /> https://www.researchgate.ne...
Although our paper was written in Chinese, the figure 1 and the English abstract clearly tell readers what we found.<br /> This virus killed many Chinese. So this finding has political meaning to our country and people.<br /> I hope you can cite our paper in your published version.
Xin Li, Guangyou Duan, Wei Zhang, Jinsong Shi, Jiayuan Chen, Shunmei Chen, Shan Gao, Jishou Ruan.<br /> A furin cleavage site was discovered in the S protein of the 2019 novel coronavirus.<br /> Chinese Journal of Bioinformatics (In Chinese), 2020, 18(2): 1-4. doi: https://doi.org/10.12113/20...
If you have any requirement, I would like to listen and try my best to accept.
Thank you very much<br /> Best regards
On 2020-03-10 16:52:36, user Jef Vizentin-Bugoni wrote:
"The transition from trait-based to abundance-based linkage rules corresponds with a decline in floral trait diversity" corroborates predictions of the 'neutral-niche continuum model' (Vizentin-Bugoni, J., Maruyama, P. K., de Souza, C. S., Ollerton, J., Rech, A. R., & Sazima, M. (2018). Plant-pollinator networks in the tropics: a review. In Ecological networks in the tropics (pp. 73-91). Springer, Cham.)
Based on similar insights, we produced (in the review above) a simplified model where we specifically predict that in communities with high trait variation, niche-based processes (or trait-based, as you call) tend to be more important than neutral-based processes (or abundance-based, as you call) as drivers of species interactions. The underlying mechanism we propose for the first scenario is that more biological constraints (morphological, phenological, chemical, etc) exist, limiting species interaction. In contrast, random change of encounter should prevail prevails when trait diversity is low and, therefore, traits do not importantly constrain species interactions. I think your work may be the first formal test of this model which is, however, overlooked in this preprint. Hopefully this could be amended in a further version. Otherwise, this is a great work.
Jef
On 2020-03-10 13:03:31, user Richard van der Laan wrote:
Excellent paper, but I think it not very wise to describe a new name in the Supplementary material. Maybe add a note after the conclusion?
Furthermore, the name Colossoma is based on Colossos (= giant) and soma (= body), σομα [Greek neuter] and the stem would be the appropriate genitive singular without the case ending, -σοματ, which would lead to Colossomatinae.<br /> And I would advise to state the type genus in a sentence: "(type genus Colossoma Eigenmann & Kennedy 1903)".
Hope this helps, Richard.
On 2020-03-10 13:00:00, user Peter Ellis wrote:
Interesting finding!
An interesting supplementary question is what the nature of the Y sequence is in species with larger Y chromosomes. Is it X/Y-homologous sequence (i.e. the Y has lost less of its ancestral content), or is it newly acquired Y-specific sequence?
That is, there may be a distinction between "long and conserved" Y chromosomes and "long and novel" Y chromosomes. I suspect these two possibilities lead to opposite predictions.
1) The "long and conserved" Y chromosomes that retain more of the ancestral sequence may have fewer deleterious alleles, i.e. the Y is simply less degenerate.
2) The "long and novel" Y chromosomes must have arisen by some kind of large de novo expansions of gene content. This in turn suggests that some selective process has driven that expansion - potentially X/Y conflict as seen in various fruit fly and mouse model organisms. In that case, it may be that these Y chromosomes were selected for selfish expansion of specific amplicons, but a bunch of deleterious mutations hitch-hiked along with the expansion.
So I would predict that the "toxic Y" model applies most specifically to Y chromosomes with recent expansion of Y-specific content, rather than Y chromosomes that retain X/Y homologous gene content.
On 2020-03-10 07:19:38, user Masood AH wrote:
Very interesting article!. It confirms the role of one (miR-320a)<br /> out of many identified microRNA in SCM.
On 2020-03-10 02:15:46, user El Güero wrote:
Legend to figure 3 needs correcting, only mentions panel A and B whereas figure runs to panels A to D.
On 2020-03-09 19:39:13, user Fraser Lab wrote:
This manuscript by Leander, M., et al, uses TetR as a model system to explore the robustness of an allosteric response (in this case coupling drug and DNA binding) to mutation. This paper uses high throughput mutational scanning to identify variants that compromise function using FACS coupled to deep sequencing. As a follow-up the authors conduct a break-and-restore secondary screen where they generated libraries in the backgrounds of 5 deleterious mutations to identify rescuing suppressor mutations with FACS followed up by sampling with sanger sequencing. They use structural modeling (in particular rosetta and MD) to develop potential mechanistic explanations for these mutations.
Overall, the data presented shows that empirically identified allosteric residues appear to be distributed across TetR, are not conserved, and have a variety of structural mechanisms potentially underlying them. The authors take this to mean that broadly, allostery is distributed and not conserved. The generality of the present approach is perhaps a bit overstated ("profound impact", “radically reframe”), but this is a great example of leveraging the classic strategy of identifying suppressor mutants using a functional screen while taking advantage of the new power and massively parallel nature of modern high throughput sequencing. With the focus on plasticity and robustness there could be increased citations/discussion of previous work on protein robustness and strategies involving suppressor mutations. Many of their conclusions could be put in context with previous work on allostery in this system (see: Reichheld and Davidson, PNAS, 2009), which puts forth an alternative subdomain folding model that is not really considered here.
One of the main arguments in the introduction is that previous works weren’t comprehensive. From our reading, only one experiment, presented in the structural hotspots more conserved than allosteric’ section, measured all (or a nearly comprehensive set) of the mutations with deep sequencing. While the libraries were made it is unclear why sanger sequencing as opposed to sanger sequencing was used for the break-and-restore experiments. Moreover, the paper does not make clear which statistical tests are used to validate qualitative observations. For example, somewhat arbitrary thresholds are set and used to define where a region is an allosteric hotspot. In general, the thermodynamic coupling between one residue to another is not binary and so it does not make sense to treat the data qualitatively. It makes more sense to develop a quantitative score for whether a residue is allosteric or not based on deep scanning mutational data. For example if some mutations are harder to rescue you should expect not only less residues will rescue them but those that have to should have higher coupling then those that are easier to rescue- a core argument in the paper. This should be measured and tested quantitatively. Percentages should be reported somewhere regarding each of the rescued background libraries. It’s quite possible all this data is there, just not presented clearly.
Similarly, if the assignment of allostery is made quantitative it would be easy to calculate correlation between allosteric residues and conservation or as is it would be easy to calculate the z score between the conservation of dead vs allosteric residue populations. This would quantitatively back up the claim of the paper that residues allosteric residues are not conserved. There are many other examples throughout the paper where it would be appropriate to do a statistical test.
Overall, the paper is hard to follow as written. For example, it is confusing that the mutations in various mutational backgrounds are presented prior to the single mutational data. Perhaps it would make more sense if the single mutation datasets were presented first, followed by the rescuing mutations in the background of these mutations. It is unclear as is whether the deep sequencing data from the single mutational libraries were used in deciding mutations to be used as backgrounds for the second order mutations.
The major successes of the paper are the “break-restore” cycle of mutagenesis and integrating one potential structural framework to develop mechanistic explanations for some mutations which is often the lacking step in deep scanning mutational studies. The major concern we have with this data is that the timescale of the MD simulations (while still impressively long microseconds) is still insufficient to get at many issues of folding of subdomains (see again Reichheld and Davidson) and other aspects of the conformational ensemble that may mediate allostery in this system (esp. if it is not simply a matter of an “active” and an “inactive” structure).
Specific points:
Throughout the paper, it is unclear why methods were chosen, how assays were developed, and whether statistical tests were done. Some examples:<br /> * How were libraries generated? Chip-DNA is not sufficient information. Looks like from the methods inverse pcr and golden gate was used. High level information should be in the body of the paper. How do these libraries compare to similarly generated libraries? <br /> * There are triple mutations in the library. Where did these come from?<br /> * Nowhere in the paper are the quality of the libraries discussed. How much WT is present? How many variants were observed of the possible variants? How much coverage on the effective size of the library (considering WT) at the sorting/sequencing? Baseline library statistics (WT %, % present, bias) is needed to determine how well NGS experiments went.<br /> * How was the threshold for ‘low’ GFP decided on? Were any controls used? More broadly, were controls used to determine any thresholds? Example raw data for this experiment should be in the supplement.<br /> * In the disrupt and restore first step experiment presented in Fig1C it’s mentioned that there were many mutations that disrupted but 5 were chosen as background for secondary libraries. How many mutations were disruptive? Was this the data presented later in fig3? Or if not from the experiment presented in Fig3 this primary screen should be in the supplement. Why these 5 apart from them being distributed across TetR? Strongest signal? Did they represent distinct clusters? <br /> * How is partial vs full rescue of function described? How do you think about positions that can have varied impacts of rescue vs those that have a range of responses? For example D53V and N129D seem to all be rescued more or less the same amount whereas (impossible to know as a reader without statistics...) R49A and especially G102D have vastly different responses. <br /> * Fig1C ranks mutants by mean. Ranking by mean does not seem appropriate based on the fact that G102D in Fig1C is the second most easily rescued whereas in Fig2B it is the hardest to rescue. This seems odd. In the next section this idea is discussed somewhat and maybe does not make sense to rank order this data.<br /> * How and why were thresholds chosen? Why couldn’t this same analysis be done in Fig1C data by binning fluorescence? If 1000 mutants were done why are there not 1000 mutants in FigS3? Where is that raw data?<br /> * The authors discuss that rescuing residues are either unique to a given mutant background or shared across multiple. They call this ‘ variant-specific regional bias’. However, only 200 out of a possible of ~3000 variants per background are sampled so it is hard to know whether this analysis is meaningful. It is unclear why these experiments were done with clonal sequencing and not illumina sequencing. An added benefit would be being able to do thermodynamic cycle calculations mutations to quantify the coupling between all mutations. This would just require sequence baseline libraries as well.
* 5/20 mutations having a signal was used as a threshold for allosteric residue classification. This seems somewhat arbitrary unless this was quantitatively determined to be a good threshold. It makes more sense for every residue to get a coupling score based on depletion of weighted sequencing reads and have a statistically defined threshold (R packages like DESEQ2 can do this easily) for calling residue allosterically coupled.<br /> * Thermodynamic coupling is not binary so enrichments could be quantitative. Then it will be easier to judge the data and easier to calculate statistics. How many residues were missing from the dataset? How common are allosteric sites? Looking at FigS4 it is hard to know if white residues are missing data or mutations that don’t meet the cutoff.<br /> * A statistical test could be used to back up the statement that allosteric residues aren’t conserved. As is or it would be easy to calculate the z score between the conservation of dead vs allosteric residue populations. Really there should be a quantitative score that could be used to calculate correlations between conservation and later centrality.<br /> * A baseline high throughput experiment was done without ligand to see how TetR is inhibited without induction. The authors interpret GFP no ligand mutations as destabilizing DNA binding. However, mutations could alternatively impact baseline expression through TetR structure disruption or dimerization. This should be mentioned<br /> * Why was a triple mutant chosen for the rescued MD simulations when H44F had a stronger signal (Fig 1C)? Also, a double mutant would be better to limit higher order epistatic effects.<br /> * In figure 4d there do appear to be broadening in the distributions and a shift to To the left two populations. Is this meaningful? Is there any insight into why the triple mutant isn’t all the way back to WT?
Throughout the manuscript there are broad generalizations that are not consistent with our view of the literature. Here are some examples:<br /> * Authors discuss TetR having a high degree of allosteric capacity based on the results. However, without more datasets or discussing previous work in this space it is hard to say whether TetR has a high allosteric plasticity.<br /> * The authors postulate that ease of rescuing a dead variant may correlate with how stabilized the inactive state of the protein is. However, the literature has certainly considered this and should be discussed/cited if this section remains. <br /> * The authors talk about how their work radically reframes the problem and is very impactful. We will leave the impact for history, but this is a pretty classic strategy and we fail to see what is “radical” about it. It is a great example of using modern technology on a “classic” system - that is cool!
Throughout the manuscript there are explanations whereby the logic is unclear. Here is an example that would benefit from further explanation: <br /> * In after the site-specific mutation section the authors conduct rosetta modeling to develop putative mechanistic explanations for several of the mutations. Here the authors see reduced helix-turn-helix stability however there is no explanation of it’s significance.
Insufficient background/missing citations<br /> Through the manuscript there is lacking background and many missing citations. Here are some examples:<br /> * ‘Thermodynamic does not require spatial connectivity’ should have a citation<br /> * ‘Allosteric signaling occurs through redundant and robust networks’ based on one example from one paper it is improper to generalize. There should be citations here as there are certainly more examples of allostery being redundant.<br /> * The authors discuss allosteric hotspots but do not cite work here that came up with the concept. For example, earlier in the paper Rama Ranganathan’s work is cited and should be again here.<br /> * Citations needed that identified mutations in DBD and LBD<br /> * Centrality is a used to identify residues associated with allostery. The authors mention that in some instances it does not predict their allosteric classification. How does this compare to previous evaluations of centralities performance as an allosteric metric?<br /> * More discussion of how the field views the conservation of allostery would be good. Overall, it’s not entirely novel that allosteric sites are not as conserved as Though it’s not necessarily novel that allosteric sites are not as conserved as catalytic/binding sites. Fig1b of Yang J-S, Seo SW, Jang S, Jung GY, Kim S (2012) Rational Engineering of Enzyme Allosteric Regulation through Sequence Evolution Analysis. PLoS Comput Biol 8(7): e1002612.
A major rationale and point the authors make in the introduction is that previous studies have been exhaustive, however many of the examples the authors give are clonal experiments with limited sample size. Some examples:<br /> * If this is 200 variants per position this is nowhere near exhaustive. How is there only 1 variant for G102D in fig2a when in 1C there were more? Were any statistical thresholds used for the data in Fig 2b? <br /> * The authors discuss that rescuing residues are either unique to a given mutant background or shared across multiple. They call this ‘ variant-specific regional bias’. However, only 200 out of a possible of ~3000 variants per background are sampled so it is hard to know whether this analysis is meaningful. It is unclear why these experiments were done with clonal sequencing and not illumina sequencing. An added benefit would be being able to do thermodynamic cycle calculations mutations to quantify the coupling between all mutations. This would just require sequence baseline libraries as well.
Figures<br /> 1B<br /> It would be nice to see raw data somewhere for gating. To get a sense of what the library data looked like. It is unclear why only the top and bottom gates were collected and not a series of bins. It would also be good to get a sense of what percentage of the population these gates represented.<br /> Fig 1C<br /> How many replicates were done for each? There should be extensive statistical tests here between mutants, wt and background single mutations. <br /> Why are there triple mutants? Seems triple mutants shouldn’t be included as that starts moving into high order epistatic space and is hard to discuss.<br /> Unclear why mean was used to range order these as clearly several don’t fall quite inline especially G102D<br /> Fig1D<br /> Hard to read labels. Poor contrast.<br /> Fig 2A<br /> Seeing the raw data for these would be good. I don’t think it’s appropriate to use binning for this data and instead there should be a numerical value for fold induction. Then induction could be scored quantitatively. Also, need for statistical tests.<br /> Fig2B The raw data for this would be good to have in the supplemental figures<br /> Fig2C<br /> Hard to read residue labels, It would be nice to have an example that has an allosteric explanation. As all of these are just direct interactions.<br /> Fig2D<br /> This hypothesis could have been more fully tested if full libraries were characterized<br /> Fig3A<br /> Really hard to interpret this. The distribution are clear but there should be quantitative comparison.<br /> Fig3C <br /> Same comment as fig 3A.<br /> Fig 3D<br /> Need better labeling. What is top and bottom? Also pointing out where the modelled residues are in 3C would be good.
Grammar:<br /> There are missing ‘a’, ‘the’, etc but here are some examples as well as a couple of other issues:
Page3:Line7<br /> ‘the’ decentralized<br /> Page3:Line10<br /> Unclear what ‘they’ refers to. <br /> Page4:Line5<br /> ‘Time and again’ and ‘myriad’ are redundant<br /> Page4:Line14<br /> ‘a’ biochemical understanding<br /> Page4:Lines19-20 <br /> ‘a’ promoter and ‘that’ promoter<br /> Page6:Line11: <br /> ‘a’ high degree<br /> Page6:Line16 ‘<br /> allosteric’ signaling<br /> Page7:Line11 <br /> Break up the one massive paragraph after sentence 10 in the site-specific rescuability of allosteric dysfunction section.<br /> Page8:Line15<br /> Why are hotpots in parentheses? This is confusing.
We were prompted to review this by a journal, James Fraser and Willow Coyote-Maestas
On 2020-03-09 15:58:40, user Karel Boissinot wrote:
In the Confirmatory qRT-PCR in RdRp and N subsection of Material and methods, you describe 1 single condition for primers and probes concentration at 300 nM and a single cycling condition with an annealing temperature of 60 C. Did you use this for all assays or did you adjust based on each assay's preferences? Corman RdRp uses significantly higher concentrations for their primers and uses 58 C for annealing. These changes could potentially impact the assays performance.
On 2020-03-07 01:29:20, user AJP wrote:
Dear team,
You also mentioned that "10 μL of purified viral RNA" was amplified. In the results section you say that there were "15 copies/reaction".<br /> How did you quantify how many copies you had in the purified viral RNA? Was it through working back from the RT-PCR signal?<br /> Secondly I don't know if it's a mistake but under "N Assays" you said "15 copies/reaction" and then said "15 copies/μl". But previously you said there was 10μl of purified viral RNA...
Thank you,<br /> AJP
On 2020-03-07 01:16:36, user AJP wrote:
Couple of questions:<br /> What did you use for the negative control?<br /> How many repeats did you perform for calculating the RT-PCR CT value?
Thank you,<br /> AJP
On 2020-03-06 13:37:29, user Clt4 wrote:
Any updates on sequence variants in USA isolates that affect the ‘2019-nCoV_N2, N3’ of USA and the ‘ORF1ab’ of China (your most sensitive primer-probe sets for N and Orf1 genes)?
On 2020-03-09 15:51:59, user Taj Azarian wrote:
Great analysis! Just what I was looking for!
Quick note - make sure to add the basecaller and the version. For example, it would be good to know if the Guppy HAC mode was used.
Also, I would be really interested in some conclusions regarding the sequencing depth and the downsampling analysis you performed. Are there recommendations for depths based on your analysis?
On 2020-03-09 14:47:57, user Zuzanna Karolina Filutowska wrote:
Published version: https://onlinelibrary.wiley...
On 2020-03-09 13:57:40, user Diogo Borges Provete wrote:
Interesting paper indeed. However, I'm not sure if the linear morphometric variables you made could be called functional traits in the sense of Violle et al. 2007 Oikos and others. The approach of partitioning the measurements into intraspecific and interspecific variation and also among sampling sites is up to date.
But certainly the measurements you took are not feasible to be used in this framework. <br /> I'd strongly advice you to take a morphometric approach more explicitely, relating the multivariate space of measurements to the local environmental variables. This is clearly a ecomorphology paper, not a functional ecology paper and you should better use the data collected.
On 2020-03-08 21:35:20, user Saad Khan wrote:
Interesting paper. I think this is an important next step in how we should do microbiome studies. I'm wondering how do you quantify the accuracy and validity of inferred causal relationships? The statistical problem is very high dimensional and probably admits many solutions, so how do you evaluate that?
On 2020-03-08 19:09:19, user EthanFast wrote:
For others interested, we did some similar work identifying T-cell and B-cell epitopes last month: https://www.biorxiv.org/con...
This looks like a great follow up study!
On 2020-03-08 13:32:50, user Jun Yan wrote:
I have problem installing ATHENA on both mac and pc. Could you put the executable files on the github as well?
On 2020-02-13 18:28:12, user Meherma wrote:
Hello..can anybody tell me how can I download ATHENA?
On 2020-03-08 13:03:53, user Petra Bauer wrote:
Good that you could confirm recently published data on the role of the rice FIT homolog OsbHLH156 and its effect on OsIRO2 regulation, similar to Arabidopsis FIT-bHLH subgroup Ib proteins (e.g. bHLH039 localization). It is a pleasure for us to see that our data and those of other groups that have worked on FIT/OsFIT can be reproduced. At this point, your work is very valuable as it provides independent proofs with some additional data, obtained with additional plant lines, in a field where many contradictory results are also being published. There are ways to highlight this value of your data, by placing your data into the right context in the abstract, introduction and results and by explaining already there the rice and Arabidopsis FIT/OsbHLH156 studies to which you refer later, e.g. also the naming of FIT you use in your title, see Bauer et al 2007/Jakoby et al. 2004/Ling et al. 2002. We have summarized references about FIT/OsbHLH156 regulation in our recent review Schwarz and Bauer, 2020.
On 2020-03-08 10:31:14, user Chou Magen wrote:
Does this SRF-UCOE remove splicing donor and splicing acceptor. If no, it may be not safe enough. internal SD/SA in the SRF-UCOE of provirus highly likely cause aberrant splicing when integrating in the gene body, especially when we use HIV-1-derived Lentivirus.
On 2020-03-02 02:57:38, user Chou Magen wrote:
Can SRF-UCOE be used in human neuron cell?
On 2020-03-08 00:17:08, user igor_t_ru wrote:
please, check your tables :
according https://phagesdb.org/phages...
MPhalcon is MH020247 cluster E
MF919518 is LilPharaoh cluster K
On 2020-03-07 22:07:45, user Jeremy Berg wrote:
The authors may be interested in this preprint from Musharoff and colleagues, which seems to report on essentially the same phenomenon: https://www.biorxiv.org/con...
On 2020-03-06 16:54:06, user Jeremy Berg wrote:
The authors may be interested in this preprint from Musharoff and colleagues, which appears to study the same phenomenon:<br /> https://www.biorxiv.org/con...
On 2020-03-07 12:38:58, user Tanai Cardona Londoño wrote:
This is a REALLY fascinating study. Thank you.
I want to point out a couple of aspects regarding the evolution of PSII and offer a perspective that you may find interesting.
PSII evolved as a homodimer and it is very likely, if not a certainty, that some form of water oxidation had already evolved before the duplications that led to the heterodimeric core of PSII. Those are the duplications leading to D1 and D2, and to CP43 and CP47.
I think beyond the following papers [1-3], no one else has actually considered the implications of the homodimeric transition and the heterodimerization process of PSII for the origin of water oxidation and the Mn4CaO5 cluster. See also our most recent work:
Oliver et al., (2020) Origin of photosynthetic water oxidation at the dawn of life, bioRxiv, doi.org/10.1101/2020.02.28.... (I just uploaded this to the preprint service too!)
Our studies on the evolution of these duplications indicate that the homodimeric stage of PSII was extremely transient and short-lived [3]. The transition not measured in hundreds of millions of years, but perhaps just in number of generations. We know this from the requirement of an exponential decay in the rates of evolution of the core of PSII from the point of duplications [3]. This is independent of how ancient the duplications are, but the younger PSII is, the faster the heterodimerization process. But why is this important?
The heterodimerization of PSII is a process that occurred to improve water oxidation, and includes stuff like the energetic optimization of TyrD to be able to oxidize the S0 state to S1 in the dark; or the evolution of electron-transfer side pathways that involve the Cytochrome b559 bound to one side of the reaction centre for protection; or the evolution of the bicarbonate-mediated control of QA, also for protection; not to mention, the evolution of the extrinsic proteins themselves.
Therefore, a photosystem that produced birnessite-type oxides, that existed before water oxidation, could have only occurred before the core duplications of PSII, and might have been an extremely short-lived evolutionary transition.
I think there is a growing consensus that a form of oxygenic photosynthesis was happening by about 3.0 billion years ago [4], but the Johnson et al. [5] work on Mn deposits are from rocks 2.45 billion years ago. My own work suggests that water oxidation may be even older than 3.0 billion years. So, if there was ever a PSII that produced birnessite-type oxides, and did not split water, and that could have survived for hundreds of millions of years… it could not have been, necessarily so, a “transitional” evolutionary stage towards the evolution of water oxidation.
In other words, it would mean that there was a lineage of photosystems that had evolved and became optimized, through hundreds of millions of years of natural selection, to do exactly that: to oxidize Mn without water oxidation, as suggested by Johnson et al. for the 2.45 billion-year-old rocks, for example. Do you see what I mean?
And who is to argue that such a photosystem did not originate from a water-splitting photosystem to begin with? If that is the case, and there was a lineage of Mn-oxidizing photosystems related to water-splitting PSII, how can we prove that the ancestral state was actually Mn oxide production and not water oxidation instead? An interesting change of perspective, right?
Furthermore, if there was ever an organism with a Mn-oxidizing photosystem that lasted for hundreds of millions of years (I don’t rule out the possibility at all), then there is a good chance that they may still be around, as no one has actually looked for them.
References<br /> 1. Rutherford, A.W., et al., Photosystem II and the quinone–iron-containing reaction centers, in Origin and evolution of biological energy conversion, H. Baltscheffsky, Editor. 1996, VCH: New York, N. Y. p. 143–175.
Rutherford, A.W., et al., Photosystem II: evolutionary perspectives. Philos. Trans. Royal Soc. B, 2003. 358: p. 245-253.
Cardona, T., et al., Early Archean origin of Photosystem II. Geobiology, 2019. 17: p. 127-150.
Catling, D.C., et al., The Archean atmosphere. Science Advances, 2020. 6: p. eaax1420.
Johnson, J.E., et al., Manganese-oxidizing photosynthesis before the rise of cyanobacteria. Proc. Natl. Acad. Sci. U.S.A., 2013. 110: p. 11238-11243.
On 2020-03-06 22:44:50, user Luis Yáñez wrote:
this is a veyr useful paper, hopefuly will be published soon
On 2020-03-06 22:09:29, user Jing wrote:
Revised and final publication can be found at Blood journal now - <br /> Blood, https://doi.org/10.1182/blo...
On 2020-03-06 18:19:40, user Lin-xing Chen wrote:
Hi authors, thanks for presenting this promising approach for microbial analyses. Likely, this is a good way to link phages (during infection) and their hosts directly. I read the viral signal in a set of SAGs, while no host information is stated in the preprint as I can see? And, is it possible to only target those with phages before sequencing? Thank you.
On 2020-03-06 16:00:16, user Tomasz Bieluszewski wrote:
Nice work! A strong correlation between H3K27me2 and H4K5ac is a new finding too, I guess. What do you think this means?
On 2020-03-06 14:58:37, user Pierre Gladieux wrote:
Fantastic paper, congratulations.
I've a few questions/comments for you.
Molecular dating:<br /> Did you also look at the relationship between root-to-tip distance and sampling date across the whole sample (and not only Kenyan samples from Clade III) ? If yes, what's the estimate of the substitution rate? The estimate reported (1.9e-5 subst/site/year) seems very high.<br /> Did you also try to use a relaxed clock model, given that the rate is estimated on clade III and the dataset includes multiple clades? If yes, did you find markedly different estimates for the TMRCA?
Admixture:<br /> The finding of regions with very low Fst is really puzzling. Can you confirm, using clustering algorithms and/or other tests (e.g. f3 test), that there's no admixture? What's the gene density in regions with low Fst? What's the coverage in these regions?
High genome-wide Tajima's D in clade II:<br /> You explanation is balancing selection. Can you describe a scenario in which a large number of loci is under balanced selection? Don't you think demographic changes are a more likely hypothesis?
On 2020-03-06 13:28:08, user Krzysztof Pyrć wrote:
check out our paper on APOBEC and coronaviruses: https://www.ncbi.nlm.nih.go...
On 2020-03-06 06:21:41, user Sven Gould wrote:
From Knopp et al. 2020:<br /> "It has been speculated that N-terminal targeting sequences evolved from antimicrobial peptides (AMPs) (Wollman, 2016), as both share similarities in terms of charged amino acid residues, the ability to form amphiphilic α-helices, and because they are frequently identified in host-endosymbiont relationships (Mergaert et al., 2017). One example regarding the latter is Paulinella chromatophora, whose chromatophore origin is independent from that of the Archaeplastida and much younger (Nowack, 2014). Two types of NTSs were identified that target nuclear-encoded proteins to the chromatophore, but both are not related to the simultaneously identified AMPs (Singer et al., 2017), which argues against an AMP-origin of the NTS in Paulinella. The concept is also not compatible with the origin of phenylalanine-based plastid targeting and Toc75.
The components of the Toc and Tic machinery share a mixed pro- and eukaryotic ancestry (Jarvis and Soll, 2001, Day and Theg, 2018). Toc75, the β-barrel import pore in the outer membrane, is of prokaryotic origin and a member of the Omp85 superfamily (Day et al., 2014). Some bacterial Omp85's recognize their substrates through a C-terminal phenylalanine (Robert et al., 2006) and evidence is emerging that the POTRA domains of Toc75 act as binding sites for the NTS (O'Neil et al., 2017). If we recall that the phenylalanine-based motif is retained in rhodophytes and glaucophytes (Wunder et al., 2007), we can conclude that the pNTS did not evolve from AMPs but rather adapted in evolution and traces back to a recognition signal for the cyanobacterial Omp85 that evolved into Toc75 (Sommer et al., 2011). The ancestral character of phenylalanine-based plastid-targeting was lost with the origin of the Chloroplastida and we suggest simultaneously to the expansion of the Toc75 family, with significant consequences for the green lineage."
On 2020-03-06 01:21:16, user Cody Kime wrote:
Great study!
My 2 cents:<br /> Totipotency = total potency. Total meaning all. Potency meaning 'ability'. Thus, ability to make all. Semantically, the use of the word reduces to a simple expectation: that such a totipotent cell is functionally similar to a true healthy early embryonic cell that gives rise to a full competent lifecycle. Anything less would not be total in potency. Any cell that still requires the presence of others to contribute to the complete life cycle is lacking such potency.
I am happy to see a report directly addressing the recent use of the word.
On 2020-03-06 00:10:49, user Atom wrote:
I'm happy that this research is being done, but take exception to the terminology "both genders" and conflation between sex (male, female, intersex) and gender (men, women, non-binary, genderqueer etc.). Easy fix to adjust language to more accurately describe your study of men and women rather males and females.
On 2020-03-06 00:00:03, user Norio Ishida wrote:
I appreciate your opinion to this MS!!
On 2020-02-28 07:57:25, user Norio Ishida wrote:
One of my best friends succeeded to publish Nature through the bioRxiv!!
On 2020-02-26 01:58:19, user Norio Ishida wrote:
I think this MS is fiittable for PNAS or eLife??
On 2020-03-05 21:45:36, user Philip wrote:
This study is quite interesting regarding the expression profiling of ACE2. Thank you for posting. However, I would like to point out that there are other studies which indicate that SARS-CoV-2 has as a cleavage in the spike protein (“S”), which allows it to use the furin protein to allow a “direct fusion” of the viral and cellular membranes.
In contrast to ACE2, furin is an ubiquitous protein, so Caucasian and African populations would be just as vulnerable to the virus. The ubiquity of furin would also explain the very high infection and relatively high mortality rates observed in Europe and around the<br /> globe.
http://www.virology.ws/2020...
https://www.scmp.com/news/c...
Because of this furin infection pathway, some studies indicate that the virus is 100 to 1000 times more contagious than the 2003 SARS CoV, although it’s mortality rate seems to be lower in its current<br /> form (3,4%-5,8%, compared to 2003 SARS’s 9,5%).
Based on these two putative receptors (ACE2 and furin), my<br /> hypothesis is that SARS-Cov-2 follows a two-phase infection route:
Primary infection: In the first phase SARS-Cov-2infects cells through the furin protein, thanks to its spike protein cleavage. This would account for its relatively high infection rate and initially mild symptoms. It could also explain why asymptomatic patients shed the virus.
Secondary infection: In a second phase, once in the body, the SARS-Cov-2 virus would infect cells through the traditional 2003 SARS route, namely the ACE2 receptors in lower lung cells, which would result in pneumonia and acute 2003 SARS-like symptoms.
I would greatly appreciate feedback on this hypothesis<br /> from virologists and other researchers reading this thread.
P.S. As angry texts, posts and tweets multiply, I’d like to remind everyone that we are all in this together. There is nowhere left to<br /> run to. Times of crises bring out the worst and the best in people. Let’s be kind. Clear mind, tough stomach and big heart.
On 2020-02-17 12:29:06, user Atakata wrote:
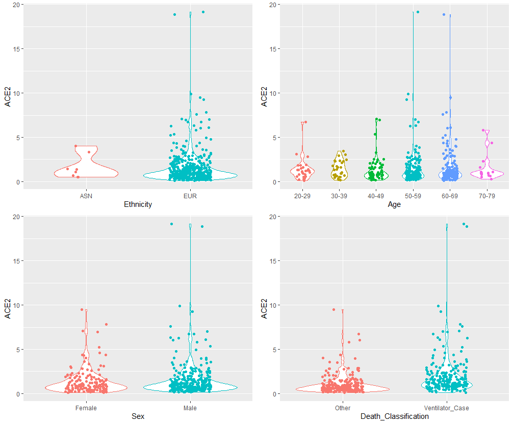
According to Fig2 of this preprint, ACE2 is almost exclusively expressed in the AT2 cells. Therefore, the difference among individuals should be assessed by bulk transcriptome data. Indeed, the average UMI per cell regardless of the cell types is much higher in the Asian male Donor2 than others when the scRNA-seq data of Reyfman et al. were reanalyzed. Based on this observation, I checked bulk ACE2 expression levels in GTEx. Among 515 genotyped individuals (so we can impute the ethnicity) with lung RNA-seq data, there are eight and 436 putative Asians and Caucasians, respectively (imputed from the first two principal components [https://storage.googleapis....] and V8 donor [https://gtexportal.org/home...]).
The result of comparison is shown below and in the figure; in my analysis I did not see significant difference between Asians and Caucasian in the ACE2 expression levels (P by two-tailed t-test = 0.858, P by generalized linear model [GLM] considering sex, age and type of death as covariates = 0.999). Also there was no difference between males (N = 300) and females (N = 144) (P by two-tailed t-test = 0.388, P by GLM = 0.172). When the above described covariates were considered, age as an ordinal variable (10-year bins) was positively associated with ACE2 expression (P by GLM = 0.00335). Lastly, we note that a highly significant difference was observed between individuals on a ventilator immediately before death and the others (P by two-tailed t-test = 6.26e-08, P by GLM = 9.3e-10).
Therefore, we can say as follows.<br /> 1) Given a much larger sample size in the above analysis, likely there is no big difference in ACE2 expression between males and females (at least in Caucasians).<br /> 2) While the sample size is still small, there is no evidence supporting an ACE2 expression difference between Asians and Caucasians in the GTEx data.<br /> 3) Use of a ventilator immediately before death is significantly correlated with up-regulation of ACE2 expression.
The following is the original result of a GLM analysis<br /> Estimate Std. Error t value Pr(>|t|) <br /> (Intercept) -0.0597672 0.7293764 -0.082 0.93473 <br /> EthnicityEUR 0.0006385 0.6425215 0.001 0.99921 <br /> SexMale 0.2508930 0.1831820 1.370 0.17150 <br /> Age_Ordinal 0.2196773 0.0744709 2.950 0.00335 ** <br /> Death_ClassificationVentilator_Case 1.1209706 0.1791391 6.258 9.3e-10 ***
I also note that there is no significant lung ACE2 eQTL in GTEx, which would have been detected if there is truly a big difference between Asians and Caucasians.
I hope this helps interpretation of the data presented in this preprint.
On 2020-03-05 15:16:47, user Wouter De Coster wrote:
Dear authors,
Your method looks very interesting, and I have some datasets in mind on which I would like to try this. Do you plan to make your code available?
Thanks,<br /> Wouter
On 2020-03-05 04:06:51, user Adam Taranto wrote:
This paper was a great read and will hopefully spark others in the field to look at TE dynamics in their own pathogen genome collections! It was exciting to see real data backing up the usually speculative relationships between TE dynamics and population level processes in fungi. Fantastic work by all involved - thanks for sharing this preprint.
There were a few points which were unclear to me. Notes included below.
163: Did you use the handful of existing TEs from RepBase or call everything from scratch with RepeatModeler?
215-216: Here you say that a TE was considered absent if "no evidence for spliced junction reads" was found, but on lines 207-208 you say "spliced reads are indicative of ... absence of the TE in a particular isolate".
246: I don't think consensi as a plural of consensus exists in english (it does in Italian though!). I might be wrong.
312: Does "singleton TE" mean that there is only one instance of that TE family across all isolates? or, that only one isolate has that particular TE at that particular locus?
Fig 1. D. ii) For the leftmost example (Splice junction reads in query isolate + no TE annotation in reference) the fig indicates that this is called as an TE absence in the query isolate. How did you rule out these loci as unannotated repeats in the reference?
351: Fig 2. E. caption. Should this be "mean" copy numbers?
On 2020-03-05 02:43:50, user Zhiyuan wrote:
Wow! Wonderful work! It is really fascinating that maternal Smchd1 can disrupt imprinting without affecting primary DMRs. Is it possible that the Smchd1 actually works downstream of primary DMRs? Given that zygotic KO has more cases more severe loss-of-impriting. It is possible that maternal KO affects imprinting through haploinsufficiency?
On 2020-03-04 22:50:26, user Lin-xing Chen wrote:
Here is a good example of STS that was missed in the literature list - https://www.frontiersin.org....
On 2020-03-04 16:54:06, user Alexander Steinle wrote:
Having read this interesting work on phenotyping human NK cells, I am wondering why the authors omit to mention that NKp80 is also expressed on a substantial portion of effector memory CD8 T cells (Kuttruff et al., Blood 2008) and that treatment of NK cells with IL-12+IL-18 for > 24 h does lead to NKp80 down-regulation (Klimosch et al., Blood 2013). Both observations are central to the focus of this paper.
On 2020-03-04 15:16:55, user Jackie wrote:
Congratulations to your great finding in your recent paper<br /> Unfortunately we reported this mutation and the furin cleavage site on 21th,Jan on researchgate<br /> https://www.researchgate.ne...
Although our paper was written in Chinese, the figure 1 and the English abstract clearly tell readers what we found.
I hope you can cite our paper in your published version.
Xin Li, Guangyou Duan, Wei Zhang, Jinsong Shi, Jiayuan Chen, Shunmei Chen, Shan Gao, Jishou Ruan.<br /> A furin cleavage site was discovered in the S protein of the 2019 novel coronavirus.<br /> Chinese Journal of Bioinformatics (In Chinese), 2020, 18(2): 1-4. doi: https://doi.org/10.12113/20...
If you have any requirement, I would like to listen and try my best to accept.
Thank you very much<br /> Best regards
On 2020-03-04 14:58:04, user Jackie wrote:
Congratulations to your great finding in your recent paper<br /> Unfortunately we reported this mutation and the furin cleavage site on 21th,Jan on researchgate<br /> https://www.researchgate.ne...
Although our paper was written in Chinese, the figure 1 and the English abstract clearly tell readers what we found.<br /> This virus killed many Chinese. So this finding has political meaning to our country and people.<br /> I hope you can cite our paper in your published version.
Xin Li, Guangyou Duan, Wei Zhang, Jinsong Shi, Jiayuan Chen, Shunmei Chen, Shan Gao, Jishou Ruan.<br /> A furin cleavage site was discovered in the S protein of the 2019 novel coronavirus.<br /> Chinese Journal of Bioinformatics (In Chinese), 2020, 18(2): 1-4. doi: https://doi.org/10.12113/20...
If you have any requirement, I would like to listen and try my best to accept.
Thank you very much<br /> Best regards
On 2020-03-04 14:47:09, user Jackie wrote:
Congratulations to your great finding in your recent paper<br /> Unfortunately we reported this mutation and the furin cleavage site on 21th,Jan on researchgate<br /> https://www.researchgate.ne...
Although our paper was written in Chinese, the figure 1 and the English abstract clearly tell readers what we found.<br /> This virus killed many Chinese. So this finding has political meaning to our country and people.<br /> I hope you can cite our paper in your published version.
Xin Li, Guangyou Duan, Wei Zhang, Jinsong Shi, Jiayuan Chen, Shunmei Chen, Shan Gao, Jishou Ruan.<br /> A furin cleavage site was discovered in the S protein of the 2019 novel coronavirus.<br /> Chinese Journal of Bioinformatics (In Chinese), 2020, 18(2): 1-4. doi: https://doi.org/10.12113/20...
If you have any requirement, I would like to listen and try my best to accept.
Thank you very much<br /> Best regards
On 2020-03-04 11:45:06, user Katrina wrote:
Review of paper “Time-varying transmission dynamics of Novel Coronavirus Pneumonia in China” by Liu et al. from computational biology journal club at UTK:
Summary: The authors compare the 2019-nCov and SARS coronavirus outbreaks based on reproductive number and time period of onset of symptoms to isolation using exponential Growth, maximum likelihood estimation and time-dependent reproduction models. Their goal is to understand human to human transmission dynamics (reproductive number), incubation period, and time period of onset of symptoms to isolation of the 2019-nCov virus.<br /> The authors conclude that 2019-nCoV is more transmissible based on average reproductive number and doubling time. They state that the doubling time was much lower (2.4 vs. 12.4) in the 2019-nCoV vs. SARS. As well as the reproductive number estimated by exponential growth, ML and time dependent reproduction number is lower for SARS. The authors research is novel since currently there are no published research on time-varying instantaneous reproduction number.
Comments:
In the Methods section, on page 6, the authors use Poisson regression to model the basic reproduction number (R0), exponential growth to model the growth rate of population, and gamma distribution for modeling the generation time. Please justify the distribution used and how viral super-spreaders, where few infected individuals are responsible for infecting the majority of individuals could impact the model selections. How could the selection of Poisson distribution impact the estimation of parameters? Does the answer from R0 depend on the distribution chosen?
The confidence intervals for R0 in Table 1 for SARS and NCP cases at nationwide scale are large enough that the R0 overlap for SARS and NCP. The conclusion stating that the SARS R0 is higher than NCP may be overstated since it depends on the scale (nationwide vs. individual cities) when the R0 is indeed higher in SARS vs. NCP only at city wide scale where confidence intervals do not overlap for R0.
For supplemental figure S3, the generation time was only varied by 7 to 9. How is R0 affected with generations time outside the range of 7 to 9? Please provide rationale for small range of generation time effect. Please provide a rationale for why generation time was not varied for modeling Rt as done for R0 in supplemental Figure S3.
In the methods section, under sensitivity analysis header (page 7 and 8), the assumptions for the R0 and Rt model used in the R package should be further explained. Does the model assume constant population size, constant transmission rate, no births and deaths, and well-mixed population or homogenous population..etc. ? What are the limitations of the model and if the assumptions are not met, when will the model over estimate or under estimate R0 and Rt ?
In the methods section under the data collection header, the data used for SARS and NCP are different in relation to the epidemic time scale. The models used to predict R0 and Rt for SARS are using data for one year (2002-2003) and NCP (data as of February 7,2020). How could the selection of distribution for generation time, growth rate and R0 and Rt values be impacted by using early epidemic data vs. entire epidemic data?
The authors used the generation time from previous paper of mean generation time of 7.5 days. While the authors did change the generation time from 7.5 to 9.5 days which resulted in R0 > 1 (Figure S3), it is not clear the impact of the generation time on R0 outside the range of 7.5 and 9.5.
The same comparison of SARS on the days from symptom to onset (figure 2) was not provided. As well as what was the average incubation period of SARs so one can compare to 2019-nCoV. If this analysis is not possible, please provide reasoning and how this can impact results of comparison between SARS and 2019-nCoV.
For figure 2, it would be informative if there were some statistics performed between the number of cases in Wuhang vs. Guangdong.
Minor comments:
It would be beneficial to provide line numbers for reviewers.
The map (Figure 1) is not legible in black and white. This may be a concern for readers who cannot print in color.
For figure 3, please provide confidence intervals or explain the pink shaded area and the dotted line in figure legend and text.
In Methods section on sensitivity analysis, please provide the number of the iterations used to estimate reproductive number.
The figure legends lack description and would be more beneficial to readers if they explained what the figure is result of (method used to generate data/results). (ex. For Figure 2, Temporal distribution of confirmed NCP cases nationwide from Bayesian nowcasting model).
It would be beneficial to future researchers to publish supplementary data of the incidence data used for the modeling the reproduction numbers.
For figure 2, it is not clear if data was not available for all dates, dates were skipped, no NCP cases reported (i.e. Dec 30,2019). Please provide this information and or note why dates were skipped for analyses. As well plotting 0 if that is the situation that no NCP cases were reported.
For the sensitivity analysis, please provide more details in the methods section or supplemental section for how analysis were performed.
On 2020-03-04 10:28:04, user Nikol Reslová wrote:
Hello, I would like to ask, the database is not working for some time now, will it be available once again or did you close the websites for good? Thanks for your response in advance, NR.
On 2020-03-04 04:07:16, user Eskild Petersen wrote:
I wonder if there is also cross reactivity with antibodies agaianst the MERS-CoV ?
On 2020-03-03 23:22:10, user Dylan Glubb wrote:
We have shown previously in the largest MR study of endometrial cancer (n=12,906 cases) that BMI is strongly associated with endometrial cancer risk (OR=1.92, 95%CI 1.62-2.25): https://www.ncbi.nlm.nih.go...
On 2020-03-03 20:34:32, user David Ornitz wrote:
Now published:
Yin Y, Ornitz DM. FGF9 and FGF10 activate distinct signaling pathways to direct lung epithelial specification and branching. Science Signaling. 2020;13(621):eaay4353. doi: DOI: 10.1126/scisignal.aay4353
On 2020-03-03 18:14:59, user Hafiz Muzzammel wrote:
AoA where are results for IFN gama by IFN epitope server and what results it showed to you and how you got that
On 2020-03-03 17:00:54, user C. M. Haney wrote:
Another paper that is certainly relevant to experimentally-constrained simulations of intrinsically disordered proteins:
https://www.sciencedirect.c...
And a bioRxiv you may be interested in as well:
https://www.biorxiv.org/con...
Still, great work and good to see a number of experimental approaches being integrated to solving a challenging problem!
On 2020-02-14 19:29:28, user Greg Gomes wrote:
Hi Guest,
One of the authors here. This is precisely the type of feedback/discussion that BioRxiv is great for! Thanks!
The smFRET distances in Piana et al., are inferred from smFRET transfer efficiencies using an assumed homopolymer model. In our manuscript (and others) we show that deciding which, if any, homopolymer model is appropriate for a particular IDP is difficult, and allows considerable flexibility in the inferred distances. Our results compare smFRET effeciencies directly rather than using derived values from the data via polymer theory assumptions.
That being said, I take the point that phrases such as "novel", "new", and "for the first time" could be (or are) claims of priority, which are difficult or impossible to assess - and should therefore be avoided. The updated version will cite the referenced paper, as it is work that should be acknowledged.
On 2020-02-13 20:54:04, user Gomes Greg wrote:
Hi Guest,
One of the authors (Greg Gomes) here. This is one of the great reasons for posting on BioRxiv! Thanks for pointing us towards this, we are updating the manuscript accordingly!
-Best,Greg
On 2020-02-12 18:18:17, user Guest wrote:
"To our knowledge, these are the first conformational ensembles for an IDP in physiological conditions that are simultaneously consistent with smFRET, SAXS, and NMR data."
Multiple a-synuclein MD ensembles run at ph7 with excellent agreement with NMR, SAXS, and smFRET distances measured under similar conditions were published in 2015:
https://pubs.acs.org/doi/10...
Figures 4+5 show the agreement.
On 2020-03-03 15:20:54, user Sebastien LEON wrote:
Very interesting. Do you guys have any idea of how "strong" is the energy depletion caused by 2DG + antimycin? In terms of ATP levels, kinase activation etc.
On 2020-03-03 15:04:00, user Damian Blasi wrote:
This is a reply to www.biorxiv.org/content/10....
On 2020-03-03 12:45:37, user Shifra Ben-Dor wrote:
According to the morpholino sequences provided, "piezo1b" is on chromosome 24, which is the locus of a homolog of human/mouse piezo2 and identified in zfin as piezo2a
On 2020-03-03 09:12:47, user César Morales-Molino wrote:
Dear authors,
Very interesting and somehow provocative MS! It will certainly stimulate further research on this topic.
While reading it I was thinking that you might consider of interest the following paper we published recently about the long-term dynamics of herbivore communities in central Spain using a palaeoecological approach:
Morales-Molino, C. et al., 2019. Unprecedented herbivory threatens rear-edge populations of Betula in southwestern Eurasia. Ecology 100, e02833. https://doi.org/10.1002/ecy...
You may also find useful these papers on the impact of high densities of wild ungulates in the absence of predators on vegetation regeneration in central Spain:
Perea, R. et al., 2014. Big game of big loss? High deer densities are threatening woody plant diversity and vegetation dynamics. Biodiversity and Conservation 23, 1303-1318 https://doi.org/10.1007/s10...
Perea, R., Gil, L., 2014. Shrubs facilitating seedling performance in ungulate-dominated systems: biotic versus abiotic mechanisms of plant facilitation. European Journal of Forest Research 133, 525-534. https://doi.org/10.1007/s10...
Looking forward to seeing the final version published! Good luck!
On 2020-03-02 16:51:44, user ToGo wrote:
Thanks for the great data set!<br /> I was playing around with the genomes_metadata.tsv from the ftp-server and stumbled over the sample srs1996016, which included an unusual high number of MAGs (6,076), much more than the other samples (mainly less than 100). Could it be that the mentioned sample contains error in its own metadata? Here is the ena-site: https://www.ebi.ac.uk/ena/d... <br /> Thanks in advance,<br /> Toby
On 2020-03-02 14:12:16, user Jonathan Wells wrote:
Cool paper, it seems pretty convincing, particularly given the clear pattern of 5' truncations shown in figure 2. Given that there are not many full-length elements remaining, it might be worth checking whether or not the transcripts map exclusively to the TEs, or if they also contain upstream non-TE sequence. The latter would be indicative of read-through transcription from neighboring genes. If you don't get any reads mapping exclusively to 5' end of the LINEs it might be harder to say that they are still currently active. I enjoyed reading this anyway, thanks!
On 2020-03-01 11:52:48, user Jeroen van Vugt wrote:
Competing interest statement is correct in the latest version of the manuscript, version 4, which was posted on August 16, 2019.
On 2020-03-01 11:02:30, user Stefano Campanaro wrote:
Dear Jennifer Lu and Steven Salzberg,<br /> Thnaks for posting the preprint, it describes a really interesting analysis with useful software to check potential misassemblies. I am checking a genome of a Cyanobacteria species that we have recently sequenced using hybrid Illumina/Nanopore approach.<br /> By checking the supplementary materials provided, I realized that the Supplemental Table 2 file contains links to other files and columns "D" and "E" cannot be visualized.<br /> I hope you can manage to revise the file.<br /> Additionally, in git documentation, it could be useful to remember the users to install biopython before running the scripts. You can suggest the users to create a conda environment including python 2.7 (or similar), and then to include in this environment both python 2.7 and biopython using:<br /> conda create --name your_env_name python=2.7<br /> conda activate your_env_name<br /> conda install -c bioconda biopython
Hope these suggestions will be useful.<br /> Sincerely<br /> --<br /> Stefano Campanaro<br /> Department of Biology<br /> University of Padova
On 2020-02-29 15:44:02, user Aurora Fontes wrote:
This is the peer-reviewed final version: https://www.frontiersin.org...
On 2020-02-28 19:47:54, user Timothy M Freeman wrote:
This article has been accepted for publication by Genome Research in the March 2020 edition and will become available online in March 2020 at http://www.genome.org/cgi/doi/10.1101/gr.255349.119.
On 2020-02-28 18:06:18, user Willem van Schaik wrote:
This paper was discussed in my group’s journal club. We found this to be an interesting manuscript that explores the potential links between the gut microbiome and schizophrenia, a serious mental illness, which is a fascinating topic. However, in its current form the manuscript is incomplete and so impossible to assess whether the data support the conclusions. <br /> This appears to be mostly due to the absence of Supplementary Materials which appear to include crucial data on the study set-up and methodology. <br /> We ask whether the authors can upload these materials in a revised version and we hope that the supplementary materials can answer the following questions that were raised during our journal club:<br /> - Was ethical permission obtained to perform this study in schizophrenic patients? <br /> - How did the investigators handle the issue of informed consent in individuals with mental illness?<br /> - Information on matching with healthy controls is lacking: they appear to do this on the basis of BMI, age, gender and diet. How was diet, as an important confounder in microbiome studies, controlled in both groups?<br /> - We believe that most patients with schizophrenia are on drugs to treat their condition. Why were these patients not treated and how was the decision made to start treatment? <br /> - Information on the discovery and validation cohorts are missing. Are these in different hospitals or are they from the same hospital (or even the same ward)?<br /> - Statistical methods are not always clearly described. The use of P<0.1 as a threshold for statistical significance in some of their studies is probably unwise. It is not clear whether statistical tests were corrected for multiple testing analyses (e.g. in the data described in Fig. 2).
On 2020-02-28 16:01:49, user Xukai Li wrote:
The new version is at https://github.com/xukaili/...<br /> https://twitter.com/xukai_l...
On 2020-02-28 14:20:53, user Jason Chapman wrote:
Just been an outbreak fifty miles from where I live in Wales. I can't understand how every containment plan put into place is failing.
On 2020-02-12 08:04:37, user John wrote:
The naming convention will be obsolete in the next century, as new CoV disease in the year 2119 cannot be named COVID-19. Also, what then of 2nd CoV disease in the same year?
If the new CoV is most appropriately named SARS-CoV-2, surely the new disease should be named SARS-2?
If SARS is not an appropriate description for all SARS-CoV's, then the virus naming convention should be changed?
Are we expecting future diseases to be named according to this convention? So disease by new hantavirus in 2020 will be called HAVID-20? Are we planning to slowly teach the general public, the family names of pathogens? Over the years, the number of cryptic names will start building up, if this is the convention for future diseases. To the general public without medical training, such names provide little descriptive value, and thus does not help them to remember the specifics of the diseases.
(Just for laughs, new disease caused by Drosophila A virus (DAV) in 2020 would be called DAVID-20, but an exception will probably be made to not follow convention in this case.)
Is it better to have a disease name that better describes the disease (as in SARS), or is it more important to name it according to the family name of the pathogen? I think the former. Seems to be the reason in the first place, for having significantly different disease name compared to virus name, in general.
On 2020-02-12 06:47:21, user Zhen Peng wrote:
I think it is HIGHLY INAPPROPRIATE to rename 2019-nCoV as SARS-CoV-2. The disease, which was recently named by the Chinese health officials as Novel Coronavirus Pneumonia (NCP), is very different from SARS in multiple ways, and the virus 2019-nCoV itself is also more distant to SARS-CoV than to its known closest relative which is a bat coronavius Bat CoV RaTG13. <br /> First, according to https://www.medrxiv.org/con..., the symptoms of NCP differ from those of SARS in multiple ways, among which the most notable one is that "fever occurred in only 43.8% of patients on initial presentation and developed in 87.9% following hospitalization", while a characteristic feature of SARS patient is the fast development of fever and "absence of fever in 2019-nCoV ARD is more frequent than in SARS-CoV (1%)". Besides, NCP, although having "pneumonia" in its name, can actually have some symptoms that does not seem like pneumonia. For example, radiologic test at presentation shows that "of 840 patients who underwent chest computed tomography on admission, 76.4% manifested as pneumonia", which means that more than 20% of the patients did not develop pneumonia at presentation. Some patients, although few, even developed symptoms in their digestive systems before having fever or cough. Such properties make it difficult for diagnosing NCP, and actually there have been a debate among Chinese health workers recently about the criteria for diagnosis, which even resulted in different criteria in Hubei province and other parts of China. On the other hand, although SARS is much more severe and harder to cure than NCP, it is not this hard to diagnose SARS, because SARS patients almost always develop fever or lower respiratory symptoms really fast (https://www.cdc.gov/sars/cl.... <br /> Second, because patients infected with 2019-nCoV do not usually develop fever shortly after the infection or onset, the "fever-checking" strategy of identifying potential sources of infection, which was proven to be very effective against SARS, becomes not that reliable against NCP. Therefore, the Chinese government and Chinese people have to adopt more extreme methods to control the transmission of 2019-nCoV, such as highly strict transportation restrictions. Therefore, the strategy of disease control over 2019-nCoV/NCP is very different from that of SARS-CoV/SARS. <br /> Third, according to https://www.biorxiv.org/con..., 2019-nCoV is very similar to a bat coronavirus Bat CoV RaTG13 (96% identical), while 2019-nCoV "shared 79.5% sequence identity to SARS-CoV BJ01". Therefore, renaming 2019-nCoV as "SARS-CoV-2" could be misleading, as naive students, researchers, or the public may mistakenly suppose that SARS-CoV and SARS-CoV-2 are more similar to each other than to any other virus. Indeed, it had already been really hard for me to explain the differences between "SARS", "SARS-like" and "SARS-related" to my friends, families, and even some colleagues who are not familiar with phylogenetic analysis, and I expect that it would be even harder to explain to them how different "SARS-CoV-2" and "SARS-CoV" are. <br /> Fourth, although different researchers and officials have suggested different names for the disease, the name "2019-nCoV", since its first proposal by WHO, have been widely used by academia, news media, and governmental documents. Perhaps this is one of the few consensuses people have reached about this novel pathogen/disease so far. "2019-nCoV" is not a wrong name, and it does not cause misinterpretations, and it does not hinder our understanding of and fight against this novel pathogen/disease. Therefore, there is NO NEED to introduce a new, potentially misleading name for the same thing. I see no reason for rejecting "first come, first served". <br /> To summarize, considering clinical practice, disease control strategy, phylogenetic analysis, and what have already happened in the real world (rather than a conceptual/theoretical/computational arena) concerning 2019-nCoV, it is highly inappropriate and potentially misleading to rename the pathogen as "SARS-CoV-2". If some researchers do strongly think that it is necessary to include the four letters S-A-R-S in the name, I suggest they use "SARS-like" or "SARS-related" rather than a naked "SARS".
On 2020-02-11 22:30:10, user Olivier Le Gall wrote:
Great and comprehensive job! Note however that by per ICTV rules https://talk.ictvonline.org... the correct designation is "the family Coronaviridae" rather than "the Coronaviridae family".
On 2020-02-28 10:55:51, user Laurent Thomas wrote:
Very nice tool, it could deserve a dedicated Fiji update site ! Maybe it could also benefit from the new ROI group attribute available with the latest ImageJ core releases. See https://forum.image.sc/t/ho...
On 2020-02-28 10:36:45, user István Zachar wrote:
I have 3 questions to the authors: 1) The paper refers to MAG-s of high quality of ">50% completeness, <10% contamination". Could this actually mean a HUGE contamination (e.g. 9.9%) of bacterial or protist sources? How did the authors exclude this possibility? 2) Why did the authors ignore the possibility that photosynthesis-related proteins in archaea were acquired horizontally from e.g. bacteria? 3) The monophyly of photosynthesis within Eukarya is well supported via the monophyly of all plastids (plus Paulinella), coming from cyanobacteria. How could then eukaryotic photosynthesis stem from (putative) archaeal photosynthesis? Line 91 is rather misleading in this regard.
On 2020-02-28 05:49:27, user ameya benz wrote:
Fantastic work by the team. Very well elaborated role of each amino acid involved in catalysis! All the best
On 2020-02-28 03:20:17, user Rui Xie wrote:
Extended figures are not available that information is incomplete.
On 2020-02-28 01:02:29, user Gerardo wrote:
This article is published in doi.org/10.3389/fvets.2020....
On 2020-02-27 12:18:15, user Michael wrote:
This very useful report (not paper) on building new fluorescent probes would be much stronger if it explained up front how these reagents are superior to or uniquely complement, add functionality, to existing ones. There are mentions of these aspects later and towards the end of the paper, but the abstract reads more like a paper introduction than a statement of the strengths of the new fluorescent proteins.
Also, please note the endings added to two sentences pulled from the paper. Was this investigated for each of the new probes?
Ideally, the fluorescent marker combines favorable spectroscopic properties (brightness, photostability) with specific labeling of the structure or compartment of interest **while minimally perturbing the intrinsic physiology.**
Regardless of the application, it is crucial to use markers that show specific, crisp labeling and minimal spurious, non-specific localization **while minimally perturbing the intrinsic physiology.**
This report/paper would be much stronger if it explained up front how these reagents are superior to or uniquely complement, add functionality, to existing ones. Quantification of stability and brightness compared to other probes would be a great addition. Characterization of the probes with tables of data would make this a stronger paper.
On 2020-02-27 02:37:42, user Michael wrote:
This paper would be much stronger if it explained up front how these reagents are superior to or uniquely complement, add functionality, to existing ones. There are mentions of these aspects later and towards the end of the paper, but the abstract reads more like an introduction than a statement of the strengths of the new fluorescent proteins.
Also, please note the endings added to two sentences pulled from the paper. Was this investigated for each of the new probes?
Ideally, the fluorescent marker combines favorable spectroscopic properties (brightness, photostability) with specific labeling of the structure or compartment of interest **while minimally perturbing the intrinsic physiology.**
Regardless of the application, it is crucial to use markers that show specific, crisp labeling and minimal spurious, non-specific localization **while minimally perturbing the intrinsic physiology.**
Also, quantification of stability and brightness compared to other probes would be a great addition.
On 2020-02-26 22:23:38, user Tim F. wrote:
Hi there,<br /> In the version 2 biorxiv PDF, in Table 1, Is the protocols.io link for the "Nannochloropsis oceanica" row correct? It links out to "Electroporation of natural communities in sea water" , which uses a Gene Pulser XCell, but the table says "Genepulser II". Furthermore, "oceanica" isn't mentioned in the linked protocol.
On 2020-02-26 20:26:01, user Suman Mukhopadhyay wrote:
https://www.nature.com/arti... is this thesame paper? doi: 10.1038/s41586-020-1969-6
On 2020-02-26 16:34:05, user Sophie wrote:
Exciting work. I found it particularly relevant to a work we published in 2017 (link below), which showed the interaction of BCL-XL to KRAS mutant was necessary to maintain the expression of stemness genes. At the time, we thought that BCL-XL promoted a full RAS signalling because the expression of only some clusters of genes decreased after BCL-XL KD. Now, with this work and the recent work of Amendola et al. in Nature showing that KRAS4A specifically interacts with proteins at the mitochondria membrane, I think that by knocking down BCL-XL (a mitochondrial protein), we were only disrupting the signalling from KRAS4A and maybe not KRAS4B. <br /> https://www.nature.com/arti...
On 2020-02-26 14:50:09, user Amos Bairoch wrote:
Very interesting paper. <br /> Please correct "Our study found that 46% of SPP1 alleles in Huh7.5.1-8 carried missense mutations of K200T": as shown in your supp. table, its K241T (c.722A>C).<br /> Thanks.
On 2020-02-26 13:44:53, user Benjamin Orsburn wrote:
All the RAW files are on ProteomeXchange, but still under reviewer password. Until it is unlocked they can be downloaded with this ID and password: <br /> Username: reviewer96484@ebi.ac.uk<br /> Password: T66uCQDH
On 2020-02-26 12:51:58, user Jackie wrote:
Congratulations to your great finding in your recent paper<br /> Unfortunately we reported this mutation and the furin cleavage site on 21th,Jan on researchgate<br /> https://www.researchgate.ne...
Although our paper was written in Chinese, the figure 1 and the English abstract clearly tell readers what we found.<br /> This virus killed many Chinese. So this finding has political meaning to our country and people.<br /> I hope you can cite our paper in your published version.
Xin Li, Guangyou Duan, Wei Zhang, Jinsong Shi, Jiayuan Chen, Shunmei Chen, Shan Gao, Jishou Ruan.<br /> A furin cleavage site was discovered in the S protein of the 2019 novel coronavirus. <br /> Chinese Journal of Bioinformatics (In Chinese), 2020, 18(2): 1-4. doi: https://doi.org/10.12113/20...
If you have any requirement, I would like to listen and try my best to accept.
Thank you very much<br /> Best regards
On 2020-02-21 04:39:01, user Jackie wrote:
Congratulations to your great finding in your recent paper<br /> Unfortunately we reported this mutation and the furin cleavage site on 21th,Jan on researchgate https://www.researchgate.ne...
Although our paper was written in Chinese, the figure 1 and the English abstract clearly tell readers what we found.<br /> This virus killed many Chinese. So this finding has political meaning to our country and people.<br /> I hope you can cite our paper in your published version.
Xin Li, Guangyou Duan, Wei Zhang, Jinsong Shi, Jiayuan Chen, Shunmei Chen, Shan Gao, Jishou Ruan.<br /> A furin cleavage site was discovered in the S protein of the 2019 novel coronavirus (In Chinese). <br /> chinaXiv:202002.00004, doi: https://doi.org/10.12074/20...
On 2020-02-26 12:36:25, user Jacob B wrote:
Looks like we were indeed onto something: in this article in last week's Science (https://doi.org/10.1126/sci..., the key N-terminal domain (NTD) and receptor binding domain (RBD) regions comprise most of the surface glyoprotein region of interest that we discovered.
On 2020-02-26 11:41:07, user Ionut wrote:
I think somewhere along the line the math is wrong or the premise is that we (humans and dogs) can be compared through epigenetic means is wrong. The overall high-level outcome I think is intuitive - that a dog has rapid growth in his first part of life and the growth is winding down as it progresses in time. Metabolism is faster in humans while young and going into about 40ies it will actually decrees. <br /> I'm no scientist myself, so these are my 2 cents. I would also submit the findings to another team of scientists to interpret the values and see if the math holds. <br /> My only question to anyone who is better at math than I am - in the study the following are stated:<br /> "to generate the single function: human_age = 16 ln(dog_age) + 31"<br /> "The observed agreement between epigenetics and physiology was particularly close for infant, juvenile and senior stages. For instance, the epigenome translated seven weeks in dogs (0.13 years) to nine months in humans (0.75 years), corresponding to the infant stage when deciduous teeth erupt in both puppies and babies"<br /> For the exact 0.13 years introduced in the function that they came up with you come out with approx. (negative) - 1.644 human years.<br /> How did they determine the correspondence from 0.13 year (7 weeks of dog) to be 0.75 year (9 month human) by using their given function?
On 2020-02-26 09:38:01, user Stefano Campanaro wrote:
Dear bioRxiv reader,<br /> The preprint was published in Biotechnology for Biofuels with the title "New insights from the biogas microbiome by comprehensive genome-resolved metagenomics of nearly 1600 species originating from multiple anaerobic digesters" (Biotechnology for Biofuels volume 13, Article number: 25; 2020).<br /> You can find the full-text at this link:<br /> https://biotechnologyforbio...<br /> The paper is open access, free of charge.<br /> Thanks in advance for your interest in our publication.
Stefano Campanaro
On 2020-02-13 10:12:05, user Stefano Campanaro wrote:
Dear bioRxiv reader,<br /> I am pleased to inform that this preprint has been accepted for publication in Biotechnology for Biofuels with the title "New insights from the biogas microbiome by comprehensive genome-resolved metagenomics of nearly 1600 species originating from multiple anaerobic digesters"
https://www.researchsquare....
Authors remained the same than the preprint (Stefano Campanaro, Laura Treu, Luis M Rodriguez-R, Adam Kovalovszki, Ryan M Ziels, Irena Maus, Xinyu Zhu, Panagiotis G. Kougias, Arianna Basile, Gang Luo, Andreas Schlüter, Konstantinos T. Konstantinidis, Irini Angelidaki).<br /> The main structure of the paper remained very similar to the preprint, the main modifications included, and performed according to the reviewers' suggestions were:<br /> 1-The replication rate of some archaeal species was removed due to the presence of multiple replication origins in the genome which prevented a reliable calculation.<br /> 2-The taxonomic assignment was improved by performing verification with GTDBTK and CAT/BAT software. Additionally, the assignment of some taxa to Candidate Phyla Radiation was corrected.<br /> 3-The "high quality" and "medium-high quality" Metagenome Assembled Genomes were submitted to NCBI database in addition to the MiGA database and "http://microbial-genomes.or...".<br /> We encourage all the people interested in the paper to refer to the improved updated version reported in Biotechnology for Biofuels and we thank the referees which contributed to identify and correct some weak points present in the preprint. I believe the preprint was very useful in order to made results immediately available to the scientific community since the reviewing process can be very long and create sometimes difficulties in a quick release of the results obtained.<br /> On behalf of all the authors, I thank all the people that demonstrated interest in the preprint and I hope these findings will be useful to advance the knowledge regarding the Anaerobic Digestion Microbiome.<br /> Sincerely
Stefano Campanaro<br /> Associate Professor<br /> Director of CRIBI Biotechnology Center<br /> Department of Biology<br /> University of Padova
On 2020-02-26 01:33:34, user James Ji wrote:
It has been accepted by the British Journal of Pharmacology today.
On 2020-02-18 05:07:37, user James Ji wrote:
To the best of my knowledge, plasmin is the most powerful serine protease to proteolytically cleave ENAC proteins.
On 2020-02-18 05:06:14, user James Ji wrote:
I am glad to share our study with you. Surprisingly, plasmin cleaves 16 amino acid residues in human gamma ENAC subunit.
On 2020-02-16 02:05:36, user James Ji wrote:
Potential therapy for initiating clinical trials for virus-infected respiratory distress syndrome, or pneumonia or lung injury.
On 2020-02-25 21:40:46, user Chowdhury wrote:
Another great paper (from Furusawa lab) showing many aspects of evolution (AMR) by genotype-phenotype mapping using experimental evolution and machine learning. Will read soon,<br /> High-throughput laboratory evolution and evolutionary constraints in Escherichia coli - https://goo.gl/scholar/tVwsUw #ScholarAlerts
On 2020-02-25 21:14:23, user Axel Rossberg wrote:
Clearly you put a lot of thought into your analysis. But please consider also this:
(1) If you look at link sampling curves (e.g. the number of links observed vs the number of consumer individuals sampled), you'll see that they don't obviously saturate. The link number L therefore does not appear to be a well-defined quantity (e.g. Schmid-Araya et al., 2002, Link and Almeida, 2004, Rossberg et al., 2011).
(2) To avoid this problem, one can threshold links, for example by counting only links that contribute more than a certain percentage to the diet of a consumer species. One also needs to consider that different food web data sets resolve species at different taxonomic resolution (with a tendency for less resolution in smaller webs). If one takes both effects into account, the apparent increase of average degree (of link density) with richness disappears (Rossberg et al., 2006).
(3) More precisely, one can determine link density as a function of the threshold applied, the so-called diet partitioning function. Surprisingly, the diet partitioning function is, at least for marine fish, essentially the same around the world for communities of high and low species richness (Rossberg et al., 2011).
(4) There is a heuristic argument why this might be so: if consumers<br /> have too diverse diets, they will often extinguish their main prey through consumer-mediated (apparent) competition, and if consumers have too narrow trophic niches there is a risk that, if some prey is in this niche, it will be overexploited (Section 20.3 in Rossberg 2013).
All these results suggest some caution when interpreting the data you discuss.
On 2020-02-25 20:02:21, user Jory Goldsmith wrote:
I really like that you've formatted it to make it readable. It seems it would only take 10-20 minutes but it makes a huge difference. There is no real reason the preprint should be in the journal submission format.
On 2020-02-25 18:52:16, user Emily W wrote:
I am confused by your definition of an orphan. On lines 200-201 you say that 29 of the 30 orphan genes are found in the mitochondrial genomes of other species. To me this seems that they are not orphans. These genes evolved in the mitochondrial genome of a common ancestor.
On 2020-02-25 14:20:51, user Maciej wrote:
https://jcs.biologists.org/...
Accepted and peer-reviewed article accecible here
On 2020-02-25 13:26:57, user vAsisTha wrote:
please add whether allsnps:YES or NO has been used in qpAdm & qpWave settings
On 2020-02-24 23:33:21, user Fraser Lab wrote:
This manuscript by Jones and colleagues probes the structural and functional consequences of beta-2 adrenergic receptor (ß2AR) mutations through a deep mutational scan (DMS). The authors develop a transcriptional reporter-based assay to test the effects of amino acid positional mutations on ß2AR signal transduction, and further inform their findings with unsupervised learning algorithms to predict functionally critical and structurally conserved GPCR features.
Studying GPCRs at both a structural and signaling level has the main challenge of GPCRs existing and working as a complex. This limits traditional biochemical and biophysical approaches toward unveiling nuanced structure-function relationships. Individual mutations might affect trafficking/folding, internalization, ligand binding, allostery, and coupling to binding partners (and likely some combination of any of these). The assay here lumps these together by measuring the transcriptional output (induces the transcription of a cAMP-responsive luciferase reporter) upon binding an agonist (isoproterenol).
The authors use this data to dig into generalizable GPCR mutational tolerance, population genetics to identify the presence of variants of clinical significance, and structurally score positions where mutations alter activity. Most of the paper is written from the perspective that the major outputs are the result of a functioning receptor at the membrane being able to bind to iso and transmit the signal (and we agree that this is the most parsimonious interpretation). However, there is a bit of a missed opportunity to identify outliers that may alter other areas (trafficking, endocytosis, endosome based signalling, which may be relevant for Iso in this system: https://www.ncbi.nlm.nih.go.... They also implement unsupervised learning to cluster positions based on mutational tolerance and chemical properties. The results here are not particularly surprising, but nicely distinguishes clusters based on the presumed physical chemical environment and functional constraints. The authors might want to comment on the potential for UMAP-style approaches to work across larger datasets of perturbations (many diverse chemicals rather than dose response of ISO) and what can be learned by changing the problem to clustering the inputs rather than the residues (as we did here by a simpler PCA approach: https://www.ncbi.nlm.nih.go... once more datasets are collected.
Overall, this provides an amazing benchmark dataset and a few novel findings. The major new finding of the study is an uncharacterized WxxGxxxC motif that is conserved across several species and GPCR subfamilies, in addition to carrying highly mutational intolerant residues. The authors ultimately propose that this "structural-latch" may play a role in stabilizing the extracellular transmembrane region, and potentially ligand binding.
The major weakness of this work is an experimental follow-up, even if small, to the main hypotheses provided from computational analysis. If mutations to the WxxGxxxC motif show a significant functional impact given the DMS data, and could impact the transmembrane interface for ligand binding based on structural information, why not test those mutations in an assay designed more to isolate that feature? Similarly, there is some discussion and testing of proline mutations on the C-term. These seem primed to alter some aspects of internalization and the interaction with that machinery. Pointing the way forward for how the multifaceted aspects of GPCRs can be dissected with high throughput assays would be enlightening (or pointing out why those dissections remain the purview of low through assays!).
Minor points/questions:
ADRB2 variants were synthesized in oligonucleotide microarrays split into 8 segments and integrated into the cell line. Additional details on the scheme and numbers/statistics on coverage, library wt representation, and evenness would be important to discuss and show – especially for reproducibility. (Rubin et al...Fowler, Genome Biology, 2017)
The authors conduct the DMS experiment under four different isoproterenol conditions and normalize measurements to forskolin treatments. Experimental details on the forsoklin activation in their assay or reference for this treatment would aid in interpreting the normalization approach.
There is discussion of the mutational tolerance of the intracellular loop ICL3, but what do you hypothesize is the reason ICL1 is generally intolerant of mutations?
What exactly distinguishes the globally intolerant clusters (clusters 1 and 2) in Fig 4? It seems there is a tighter range of activity to isoproterenol in cluster 2 than in 1 for all mutations and chemical properties, but does this get ranked differently than cluster 1?
A different color scheme for the logo plot in Fig 6A would improve clarity – it's difficult to distinguish F from L in the WxxGxxxC motif, making it look almost like an E.
Were all computational analyses done on Class A GPCRs or did you branch out at any point to investigate even more ancestral commonalities shared amongst classes? While ß2AR is a Class A GPCR, a short statement identifying it as such early in the text would be useful.
Labeling the first structure presented of the receptor in Fig 3E would be useful in orienting the reader.
We review non-anonymously and have posted this comment on the preprint at BioRxiv, James Fraser and Gabby Estevam
On 2020-02-24 22:03:07, user Fraser Lab wrote:
The authors propose a method that would automate atomic model building for near-atomic resolution cryo-EM maps of proteins for which no prior structural information is available. The proposed method is discussed in the context of segmenting cryo-EM maps of a multi-subunit protein complex in order to accurately identify individual subunits. The advantage of this method is that it allows for accurate model building of a multi-subunit complex when there are no structural models for individual subunits by leveraging evolutionary couplings (as a scoring criterion and as a validation metric). Overall, due to the lack of benchmarking against other methods and the limited test cases examined here, we are not yet sure whether this manuscript demonstrates that the method is robust or that it presents any advances over existing methods that do not rely on evolutionary couplings.
The authors state that their proposed method will improve segmentation of cryo-EM maps, but there is little discussion of how their method addresses this task. The majority of the paper focuses on model building, not segmentation. On page 4, the authors outline several tasks involved in “tracing a chain in the EM density map of a multi-component complex… i) the map needs to be segmented into sub-maps of the individual components; ii) probable locations of amino acid residues need to be identified in the map; iii) these locations need to be assigned to the primary sequences of the components; iv) full atom models of the protein need to be constructed.” Of these tasks, only the first one is relevant to the proposed method. The other tasks, including “automatic map segmentation, automatic map sharpening, automatic interpretation of multiple chain types, and automatic application of reconstruction symmetry” have already been implemented by software packages, some of which this manuscript cites (Cit. 10 - Terwilliger et al 2018; Not cited - Terwilliger et al, 2019 doi: 10.1002/pro.3740 also see: “Automated Segmentation of Molecular Subunits in Electron Cryomicroscopy Density Maps” by Baker et al, 2006). It may very well be that this method is a major advance over these previous studies, but it is currently impossible to tell from the manuscript.
The major flaw in what is presented is that the proposed method is not rigorously tested on multiple test datasets (e.g those that are publicly available on EMPIAR or EMDB). Rather, the method is used to build a model into a map of the TssF protein, a subunit of the Type 6 Secretion System baseplate. However, the authors modify their method to skip steps 1 and 2 (including the map segmentation, supposedly a major strength of the method) due to the low resolution of the map. The motivation for using a Minimum Spanning Tree in the method is not well described, especially in the absence of significantly improved results relative to existing methods. This brings into question over what resolution range this method is appropriate. It is also concerning that the authors report building an atomistic model of TssF and TssG components, but do not include the model in their manuscript or a statement about PDB deposition.
The authors acknowledge the necessity of sequence information from numerous protein homologs in order to accurately create a contact prediction map, one of the required inputs in their method. It would be informative for the manuscript to include benchmarking that demonstrates how many sequences or contact couplings are necessary for accurate segmentation. This can be achieved by plotting the local correlation per amino acid residue against a varying number of input sequences. This section could also be strengthened by a discussion in the manuscript of how sequence co-evolution information relies on sequence conservation and how this information may not be useful if homologs are highly divergent.
Finally, we encourage the authors to make the code for their method publicly available so it may be more widely useful and transparently understood.
Minor Points<br /> There is no comparison of the author’s proposed method and the automation tools provided within Coot, yet the authors declare that Coot’s tools are “largely manual, time-consuming, and prone to subjectivity.” There is also no comparison to Rosetta or Phenix. For example, running: phenix.map_to_model emd_2513.map 4ci0.fasta.txt resolution=3.4 find_symmetry=True does a pretty good job tracing the majority of the chains (in about 3 hours on a laptop), but does not perform as well as what is potentially described here. Comparison would be helpful for demonstrating the proposed method’s added capabilities, if any, or establishing the method as a less or more computationally intensive alternative to Coot, Rosetta or Phenix.
The Results section contains a great deal of detail that would be better laid out in the Methods section, not only for organizational purposes but also to make explicit what steps are intended to be routine. As written, the manuscript suggests a nontrivial number of judgement calls will be involved in applying the method, detracting from its usability by a wider audience.
Figures<br /> Fig 3 - Predicted contact maps vs final contact maps<br /> This figure does not clearly compare predicted and final residue contacts.
Fig 4 - Alignment and comparison with reference model<br /> It would be easier for readers to interpret comparisons if presented with individual chains. The reference model could be overlaid with the final model for easy visual comparison (similar to the visualization of multi-conformers).
Fig 6 - Method applied to wedge complex of bacT6SS baseplate<br /> 6A - Can the authors compare their model to a deposited model (in addition to other benchmarks listed above)?
We review non-anonymously, James Fraser, Iris Young, and Roberto Efrain Diaz (UCSF) and have posted this review on BioRxiv as a comment.
On 2020-02-24 14:23:09, user Anke Hinney wrote:
Great summary, thank you. Actually, I like the addition: Sex of the experimenter affects physiological stress and pain behaviour [188]. This field is currently underestimated!
On 2020-02-24 04:00:14, user Huihuang wrote:
This is a false claim: read the following from American Association for the Advancement of Science. https://www.bioworld.com/ar...
On 2020-02-16 06:55:58, user Timothy Takemoto wrote:
I wonder if the authors have missed a correlation between nCov and HIV because they ignore the first protein in the first sequence "GTNGTKR", matching it with TNGTKR in HIV when the HIV gene sequence continues with the omitted G making TNGTKRG which, since proteins are often in circular, or spiral, "heptad repeat sequences", may be functionally or morphologically the same as GTNGTKR.
If this were the case it would make the chance of overlap twenty times less likely since there are 20 amino acids coded by gene sequences.
I am a psychologist not a biologist.
On 2020-02-23 18:17:25, user Alfonso Martinez Arias wrote:
This is very beautiful and insightful work which clarifies a number of issues that the micropatterns (or 2D-gastruloids -2D-Gstlds if you wished) leave open.
First, it is interesting that here there is no Trophectoderm which suggests that, in the original work, this might be a response of the cells to the high compliance of the substrate i.e. another example of a mechanical response of the cells. Second, the cells being free, they are allowed to express behaviours that do resemble some of what they (Bra expressing cells) do<br /> during gastrulation. In this regard, this manuscript https://bmcbiol.biomedcentr... shows much that is complementary to this. Notice figures 2 and 5, in particular see in Fig 2D the fibronectin tracks and the supracellular actin cables.
I also wonder if the two Bra expressing populations that you see (the one that remains in the colony and the one that moves away -more like that of Figure 2 in the BMC manuscript), do not represent different mesodermal or, maybe even one of them, an endodermal population; it would be good to look for FoxA2 (endoderm).
All in all, clear that, for cells to exhibit some of the features of gastrulation they need to have the 'right level of freedom' and sense 'the right comliance'
Also very pleased to see the recognition of Emmanuel Farge’s work.
Much interesting to think about.
On 2020-02-23 15:31:43, user Noémie Aubert Bonn wrote:
See the associated preprint at https://www.biorxiv.org/con...
On 2020-02-20 08:06:18, user Noémie Aubert Bonn wrote:
See the associated preprint at https://www.biorxiv.org/con...
On 2020-02-23 15:30:50, user Noémie Aubert Bonn wrote:
See the associated preprint at https://www.biorxiv.org/con...
On 2020-02-20 08:05:03, user Noémie Aubert Bonn wrote:
See the associated paper at https://www.biorxiv.org/con...
On 2020-02-23 11:46:49, user Ben Berman wrote:
I really like this extensive and very comprehensive analysis of DNA methylation changes in normal B-cell development and B-cell derived cancer. The fact that epiCMIT-hypo and epiCMIT-hyper were often correlated is reminiscent of the strong correlation we found between hypomethylation of late-replicating heterochromatin and hypermethylation of PcG-CpG Island promoters in colon cancer (https://www.nature.com/arti..., Figure 6B). Your finding that these two can be de-coupled in several of the B-cell derived cancers including ALL and MM, is fascinating and opens up a new avenue to understand the mechanism. Great work!
On 2020-02-23 11:17:23, user YIGUO ZHANG wrote:
This paper has been published in Antioxidants (Basel), 9 (1) 2019 Dec 19, entitled "<br /> Unification of Opposites Between Two Antioxidant Transcription Factors Nrf1 and Nrf2 in Mediating Distinct Cellular Responses to the Endoplasmic Reticulum Stressor Tunicamycin"<br /> PMID: 31861550 DOI: 10.3390/antiox9010004
On 2020-02-22 16:34:36, user Phillip J White wrote:
Interpret with caution, dose of BCKA used in these experiments (5mM) is well ouside both the physiologic (15uM) and pathophysiologic (30uM) range and therefore the effects reported are unlikely to occur in vivo. Morover doses of BT2 used (500 and 750uM) are much greater than the dose needed for full inhibition of BDK (50 to 75uM) depending on cell type used, thus off-target effects are highly likely at this dose. Reviewers will raise these concerns and others in review.
On 2020-02-22 08:12:57, user Haogao Gu wrote:
An updated version of this paper is currently under preparation.
On 2020-02-21 17:24:02, user Joao Meira-Neto wrote:
Dear all,<br /> In figures 3 to 5, there was only one full model for each species group. See material and methods for details.
On 2020-02-21 10:36:17, user Stef wrote:
I posted a confirmatory study on BioRxiv about this c-Jun CAR T paper:<br /> https://doi.org/10.1101/202...
Applying TIDE genome-wide dysfunction signature confirms value of c-Jun overexpression, but it also signals heterogeneity, which could be linked to potential resistance.
Blog post (3 minutes read):<br /> https://melwy.com/blog/car-...
On 2020-02-21 07:33:10, user Tobias Aurelius Knoch wrote:
I would like to point the authors as well as the readers of the above manuscript not only to our/my work of the last 25 years = AND actually to our simulations of chromosomes and whole nuclei including some more recent work as for the background, novelty and importance of the above manuscript.
I also would like to state that originally D. Hermann in Heidelberg to differentiate from our work tried to put forward more flexible loops by dynamic "binding" or association (which nothing novel and just a parameter value change in our model). In so far switch and binder is nothing else than our model stressing wrongly the dynamic nature of loop "formation" in general, which as we showed also by experiments is NOT in agreement with several of our and other data as we and others in principle showed consistently over the last 25 years. And that local and temporary loops form in respect to e.g. transcription is not a new model.
our work can also be cited...<br /> also for the authors of the below works…
Knoch, T. A. (2002) Approaching the three-dimensional organization of the human genome: structural-, scaling- and dynamic properties in the simulation of interphase chromosomes and cell nuclei, long- range correlations in complete genomes, in vivo quantification of the chromatin distribution, construct conversions in simultaneous co-transfections. TAKPress, Tobias A. Knoch, Mannheim, Germany, ISBN 3-00-009959-X. http://www.taknoch.org/app/...
Simulation of different three-dimensional polymer models of interphase chromosomes compared to experiments-an evaluation and review framework of the 3D genome organization.<br /> Knoch TA.<br /> Semin Cell Dev Biol. 2019 Jun;90:19-42. doi: 10.1016/j.semcdb.2018.07.012. Epub 2018 Aug 24. Review.
A consistent systems mechanics model of the 3D architecture of genomes.<br /> Knoch TA., DOI: 10.5772/intechopen.89836, in Chromatin and Epigenetics, editors C. Logie and T. A. Knoch, IntechOpen, ISBN 9781789844924, 1-27, 2019.
The detailed 3D multi-loop aggregate/rosette chromatin architecture and functional dynamic organization of the human and mouse genomes.<br /> Knoch TA, Wachsmuth M, Kepper N, Lesnussa M, Abuseiris A, Ali Imam AM, Kolovos P, Zuin J, Kockx CEM, Brouwer RWW, van de Werken HJG, van IJcken WFJ, Wendt KS, Grosveld FG.<br /> Epigenetics Chromatin. 2016 Dec 24;9:58. doi: 10.1186/s13072-016-0089-x. eCollection 2016.
Dynamic properties of independent chromatin domains measured by correlation spectroscopy in living cells.<br /> Wachsmuth M, Knoch TA, Rippe K.<br /> Epigenetics Chromatin. 2016 Dec 24;9:57. doi: 10.1186/s13072-016-0093-1. eCollection 2016.
The 3D structure of the immunoglobulin heavy-chain locus: implications for long-range genomic interactions.<br /> Jhunjhunwala S, van Zelm MC, Peak MM, Cutchin S, Riblet R, van Dongen JJ, Grosveld FG, Knoch TA, Murre C.<br /> Cell. 2008 Apr 18;133(2):265-79. doi: 10.1016/j.cell.2008.03.024.
Light optical precision measurements of the active and inactive Prader-Willi syndrome imprinted regions in human cell nuclei.<br /> Rauch J, Knoch TA, Solovei I, Teller K, Stein S, Buiting K, Horsthemke B, Langowski J, Cremer T, Hausmann M, Cremer C.<br /> Differentiation. 2008 Jan;76(1):66-82. Epub 2007 Nov 26.
Targeted Chromatin Capture (T2C): a novel high resolution high throughput method to detect genomic interactions and regulatory elements.<br /> Kolovos P, van de Werken HJ, Kepper N, Zuin J, Brouwer RW, Kockx CE, Wendt KS, van IJcken WF, Grosveld F, Knoch TA.<br /> Epigenetics Chromatin. 2014 Jun 16;7:10. doi: 10.1186/1756-8935-7-10. eCollection 2014.
A Guided Protocol for Array Based T2C: A High-Quality Selective High-Resolution High-Throughput Chromosome Interaction Capture.<br /> Knoch TA. Curr Protoc Hum Genet. 2018 Oct;99(1):e55. doi: 10.1002/cphg.55. Epub 2018 Sep 10.
On 2020-02-20 21:07:22, user Kyla Linn wrote:
Review of the manuscript by Quévreux et al. “Interplay between the paradox of enrichment and nutrient cycling in food webs”
Summary.
The authors provide a mathematical model to explain the effects of nutrient cycling on the paradox of enrichment. The study addressed three specific questions based around the effects of nutrient cycling on the stability of food webs. The study used three models, depicted in Figure 2, to address the questions presented in the paper. As a result, the study determined that nutrient cycling can have both stabilizing and destabilizing effects on the dynamics of the food web and species biomass.
Comments.
Figure 1. The legend mentions a pathway that uses arrows on the figure. However, there are no arrows on the figure. It seems like the figure is lacking some essential portions as it did not add to the understanding of the paper.
Figure 2. Should have NC, C, and SC defined in the legend. The legend should tell us a difference between the different sized arrows and the thickness of the lines. Is SC giving any additional insights into the model? If so, this is not clear.
Nutrient cycling is not something that has been ignored. It might just have not been used to look at food web stability. Bronk DA, Glibert PM, Ward BB (1994) Nitrogen uptake, dissolved organic nitrogen release, and new production. Science 265:1843–1846 .
Duration of nutrient recycling, how often does this happen? Does it happen in scale of dynamics that they are looking at based on stability? Does this recycling happen in this time scale? Some estimates from field studies could be useful here.
Table 1. How much of recycling is there? Is this a tough estimate to make? Is this why d and delta are just between [0,1]? Is the linear scale appropriate to be used? Perhaps log scale with some very small values are more realistic.
There were some grammatical errors, text needs additional proof-reading. For example see, Line 266, “50 species got extinct”. Line 265, “run a for 900”.
Holling’s paper or other relevant papers/books should cited in equation 5.
Figure 3. Boxes of each subgraph would help as the x axis numeration looks like 3000 rather than 300 and 0. The graphs when printed in black and white (or viewed by a color-blind person) are indistinguishable.
What is different in Figure 3 of “species persistence” and in Figure 5 of “fraction of species”? Also, in figure 5, how do you define stabilized or not and how do you define the threshold?
The overall novelty of this work needs to be clearly stated.
Is the cited consumption efficiency of 0.45 correct? It seems for some predators (e.g., lions), this is probably much lower.
Line 564: Is the hypothesis that “positive effects of biodiversity on ecosystem’s stability due to nutrient recycling” scientific? (i.e., can it be falsified?)
Line 583: perhaps the need to consider nutrient recycling by ALL ecologists is overstated. There are many things to consider in complex systems, and what to consider depends on the question.
On 2020-02-20 19:30:30, user Joe Pickrell wrote:
A quick question: for the low-coverage sample, what was the empirical coverage of this sample? In the very early days of Gencove, it was an ancestry-only test based on extremely low coverage (sometimes as little as 0.05x coverage, which is sufficient for ancestry analysis but not other purposes). The concordance numbers presented here do not seem consistent with results from coverage around 0.4-1x (e.g. https://www.biorxiv.org/con..., so my suspicion is that the coverage was much lower than that, but it would be good to confirm.
Best,
Joe Pickrell (CEO, Gencove)
On 2020-02-20 13:04:13, user lemdbalexanderwbrucelab wrote:
Hello Magda and colleagues - former post doc, Al Bruce here.
This is a very nice paper. I just wanted to add that there is good accord between your findings and our data from observing embryos under Rho-associated protein kinase (ROCK) inhibited conditions (using compound Y-27632), published in 2016 (PMID: 27430121); see specifically Fig.2 (also below).
When embryos are cultured from the 2-cell to 32-cell stages in ROCKi, we observe the pERM signal is only centrally restricted to the apical pole (it has not spread) and the cortical actin network is disrupted (vs DMSO treated controls). Interestingly, the apical domain is still enriched in polarity factors (i.e PARD6, PRKCZ) but some of this is now found on basolateral membranes (such embryos have mis-localised AMOT and YAP in outer cells and do not activate Cdx2 expression); also the basolateral polarity factor SCRIB can be mis-localised to these small non-spread apical domains.
It would be good if you could cite the agreement of our data.
Best regards
Al<br /> https://uploads.disquscdn.c...
On 2020-02-20 05:24:54, user Manoj Menon wrote:
please consider the autophagy-specific non-specificity of SB202190 while using this inhibitor family to make conclusions on the role of p38 pathway
On 2020-02-20 02:25:36, user Ray Tangent wrote:
Random Question from a freshman in high school: Could this concept that methane is oxidized using peat moss be used to reduce methane emissions from livestock farms?
On 2020-02-19 10:48:01, user David Studholme wrote:
This work has now been published in Phytopathology: https://doi.org/10.1094/PHY...
On 2020-02-19 06:21:24, user Kowiyou Yessoufou wrote:
This is very great to finally see this possible in R! Congrats. Barnabas!!!
On 2020-02-18 22:10:17, user Thomas Weitzel wrote:
The full article is now available at:
On 2020-02-18 18:48:43, user Jim Fouracre wrote:
Interesting paper! However from the data it's not clear to me whether the effect seen on submergence survival is a consequence of vegetative phase change (i.e. a different response of juvenile versus adult plants) or in fact an age-dependent response. If submergence is truly enhanced in juvenile plants, versus simply young plants, you would expect to see enhanced tolerance in 35S::miR156 plants at 3 weeks (which are still very much juvenile). Have you tried carrying out a time course of submergence tolerance in 35::miR156 plants as you did for WT plants? If you see a similar decrease in submergence tolerance between 2 and 3W for 35S::miR156 plants it would suggest that the response is age-dependent, rather than associated with juvenility per se.
On 2020-02-18 15:09:04, user Luis M. Rodriguez-R wrote:
This is an exciting study! We actually hypothesized and explored this idea also in sandy sediments following the 2010 oil spill in the Gulf of Mexico. See here: https://doi.org/10.1038/ismej.2015.5
On 2020-02-18 02:46:43, user Miguel E. Rentería wrote:
the published peer-reviewed version of the article is available at Nature Communications: https://www.nature.com/arti...
On 2020-02-17 23:13:41, user J.J. Emerson wrote:
I'd be interested to see how this compares to DBG2OLC, which uses short read contigs (rather than unitigs) to simplify the procedure of constructing a graph from noisy long reads. Such a comparison seems like an useful part of the scholarship for a manuscript like this.
On 2020-02-17 14:25:20, user Jonathan Bohlen wrote:
Dear Cottrell et al,
Congratulations for this interesting manuscript and thank you for submission to biorxiv for quick access to the scientific community.<br /> Having seen that you invited comments and criticism on the work on social media, I wanted to share my thoughts on the manuscript in an open review:
In this work, you investigate the effect of ARF loss of function on protein translation. ARF acts as a tumour suppressor in the p53 pathway and ARF loss is a frequent mutation in human cancers. You nicely verify an increase in protein translation in ARF -/- MEFs. Then, ribosome profiling was carried out to determine translation efficiency of which mRNAs is specifically affected by ARF loss and they find TOP-motive containing mRNAs to be translationally upregulated upon ARF loss. You verify this finding very carefullyt for a set of TOP mRNAs using western blotting, qPCR and reporter assays. Furthermore, you show that p53 is required for the ARF mediated upregulation of TOP mRNAs and that loss of p53 copies the phenotype of ARF loss. Therefore, ARF likely activates TOP mRNA translation via the MDM2-p523 signalling axis. Finally, you aim to determine how ARF loss activated TOP mRNA translation by testing previously known TOP mRNA regulators. Unfortunately, the results in this part are inconclusive and no clear mechanism of action could be established.
In figures 1 – 3 you determine the transcripts that are translationally regulated by ARF loss of function very meticulously. The experiments are well controlled and conclusive. I particularly applaud the complementary use of RNAi based ARF depletion and genetic ARF KO for the ribosome profiling, assuring the reader that off-target effects of either depletion method can be ruled out.
One minor issue is the fact that SV40 mRNA levels of the luciferase reporters assay in figure 3F are apparently increasing and are very volatile. Did you test whether the DNAse digestion of transfection luciferase plasmid was efficient? (By running qPCR on the non-reverse translated total RNA?) If this is assured, then how is the apparent, dramatic decrease in translation efficiency of this control mRNA explained? Maybe the use of an endogenous 5’UTR that has no TOP motive would be a better negative control.
In figure 4 you show that in the context of a p53 knockout, the previously detected phenotypes are not detected anymore, suggesting that ARF dependent TOP mRNA suppression goes via p53. In a related approach, in figure 6, you compare wildtype versus p53 -/- MEFs and find similar phenotypes as for the ARF -/- MEFs, further supporting the idea that ARF acts through p53.
Finally, figure 5 is probably the only part of this paper that has some loose ends. In panel A and B you aim to determine whether mTORC1 activity is changed in the ARF -/- cells. There are a few issues with these panels:
Ser2484 mTOR phosphorylation is not reliable measure of mTORC1 activity for multiple reasons. It does not differentiate between active mTORC1 and mTORC2. Additionally, it does not consistently correlate with mTORC1 activity as assayed by lysosomal co-localization or target phosphorylation. Even in this publication (19145465) where Ser2484 is investigated, p-mTOR Ser2484 is not affected by Rapamycin treatment in a consistent manner (Figure 2, compare to p-S6). Therefore, I would recommend against the use of p-mTOR as a readout of mTORC1 activity.
The detection of phosphor-S6K and phosphor-4E-BP are well accepted ways of assaying changes in mTORC1 signalling but here, these don’t show any changes that would be deemed statistically or biologically significant.
You could attempt to determine mTORC1 activity by lysosomal localization of raptor to show that indeed mTORC1 is activated upon loss of ARF.
In panel D, you find increased levels of eIF4G1 protein in ARF depleted cells. This is interesting and might explain the upregulation of TOP mRNAs. If you were able to carry out a mild knockdown of eIF4G1 in these cells to bring the eIF4G1 levels back down to ~wildtype levels you could test whether the increase in eIF4G1 levels leads to TOP mRNA translation activation while avoiding cell lethality.
Finally, as you conclusively show that the increased levels of LARP1 found in ARF LOF cells cannot activate TOP mRNA translation as strong depletion of LARP1 does not appreciably or consistently affect TOP reporter translation. Therefore, LARP1 should probably not be brought up as a possible or contributing factor for TOP mRNA translation in the discussion?
It would be nice to indicate the phospho-residues probed by western blotting (e.g. p-mtor Ser2484). It appears that the labelling of panels D an onward is mixed up or even omitted.
In summary, this is an interesting and thought-provoking work that significantly advances our understanding of ARFs function in the regulation of protein translation and potentially during tumorigenesis. While the story is so far open-ended, there appear to be a few possible explanations for ARFs effect on TOP mRNA translation.
If mTORC1 signalling is indeed increased to a sufficient degree to affect TOP mRNA’s then this should be verified by the suggested or alternative experiments.
If the increased levels of eIF4G1 are responsible for TOP mRNA translation up-regulation then a mild knockdown or knockout of one allele of eIF4G1 could be a good test for this scenario.
Finally, the most thought-provoking possibility is that there is a novel avenue of TOP mRNA regulation. This would be the most interesting outcome, but likely also the toughest to figure out.
I thank you again for the submission of this excellent work and am keeping my fingers crossed for successful peer-review and publication in the near future.
Best wishes,<br /> Jonathan Bohlen<br /> PhD Student
DKFZ Heidelberg, Germany
On 2020-02-17 13:53:52, user SummerBreeze wrote:
On 2020-02-17 08:42:05, user Nellie Song wrote:
A detailed version of a method used in this article can be found here, doi.org/10.21769/BioProtoc....
On 2020-02-17 03:07:12, user Joo-Seop Park wrote:
A revised version of this manuscript has been published. <br /> https://www.nature.com/arti...
On 2020-02-16 23:14:15, user Anand. A Hardikar wrote:
Nice paper!! Good to see how well ILoReg can segregate stressed or dying beta cells based on MALAT1 expression!! (Thanks for citing our JCI Insight paper showing human pancreatic MALAT1 is highly expressed in good quality islets).
On 2020-02-16 23:07:56, user Yuan Xue wrote:
We have updated our preprint "A single-parasite transcriptional atlas of Toxoplasma gondii reveals novel control of antigen expression" to include additional analysis and experiments. Below are some major takeaways:
On 2020-02-16 22:45:05, user Stas Rybtsov wrote:
Thanks a lot, wonderful manuscript striking functional data excellent bioinformatics. Hope it will be published in high profile journal. <br /> I have a few questions and comments; <br /> What is the difference between Pro-HSCs and HECs? Both appear at day 9.5 and disappear at day 11.5. Both have the same phenotype. <br /> Note, according to our data CD41-FITC antibody does not sort out all CD41+ cells (fluorochrome is weak) it is better to use CD41-PE abs they sort out all HSC precursors including pro-HSCs. :) ...
On 2020-02-16 20:52:17, user Mark Konyndyk wrote:
Given people are asymptomatic, isn't it likely that the stated coronavusi Ro is higher?
On 2020-02-16 17:51:56, user Armin Töpfer wrote:
You should use one of the recent hifi assemblers.
On 2020-02-16 14:25:00, user André Chénier wrote:
Encouraging results. In the current context of "click bait", scientists must also be taught how to write headlines that attract interest. Click-baiting is the point of entry now for information dissemination. Headlines compete with each other in an increasingly crowded informafion world
On 2020-02-16 09:10:55, user Jeff Zheng wrote:
Protein expression and purification<br /> 20mM Tris not 2mM Tris
On 2020-02-15 15:59:22, user Jane Richardson wrote:
Haruspex is really impressive, and badly needed. As far as I know, both Phenix and CCP-EM inefficiently and not very reliably resort to modeling both protein and nucleic acid everywhere and choosing which one fits better. This would be a big improvement to a process that is at the heart of current structral biology.
On 2020-02-15 03:40:50, user Kim wrote:
Note: Printing error in Fig4.<br /> ...amino acids 473-477 should read 433-437.....
On 2020-02-15 01:46:57, user Zhenguo Zhang wrote:
Interesting. what is the genetic mechanism for the evolution of the polarization?
On 2020-02-14 19:07:43, user Dr. Sarah Signor wrote:
Just a heads up that this reference is incorrect "allele-specific expression (Byrne et al. 2017)"
On 2020-02-14 18:42:43, user Arthur Jenkins wrote:
Inadmissible evidence in obesity genetics
Background<br /> My initial interest in this area came out of an interest in adiposity and the various well-recognized failings of existing phenotypes as proxies of the underlying pathophysiology and genetics of obesity. Our initial report of familial segregation was an unexpected result of testing a new rationally constructed phenotype against diabetes family history in a small convenience sample [1]. We saw that result as generating an hypothesis requiring further testing and identified the NHANES data set as the most powerful available to us. We conclude that we have replicated and extended our original finding in the NHANES data [2].
I provide this history, which is implicit in our preprint [2], to emphasise that we did not arrive at our current position through any pre-conceived model of the genetics of obesity. At the time of publication of our initial study (2013) the claims for polygenes with small effect sizes were modest (1-2% of variance) and did not conflict with our results. Since that time the claims for polygenes have grown to the extent that the strongest of those claims are now in conflict with our analyses and interpretations.
Feedback<br /> Journals<br /> I expected that in attempting to publish our findings I would engage with reviewers familiar with obesity genetics and at least come away with a better scientific understanding of the apparent discrepancies between our findings and those coming out of genomics. Far from it. A first attempt in a specialist obesity journal made clear in a very helpful way that our audience was elsewhere and we decided that we must approach geneticists.
The results were at first just disappointing – rapid editorial rejection by the first two genetics journals tried ("not a good fit", "unlikely to receive favourable reviews") – but then quite startling - the third genetics editor rejected without review on the basis of a mis-statement of the hypothesis tested ("that BMI has a strong, single gene effect detectable in a segregation analysis"). It requires more than ignorance to describe our hypothesis of individually rare, but collectively common, variants as a single gene and we finally got the message that evidence against polygenic small-effects explanations for obesity is inadmissible in the genetics literature.
Preprint<br /> Early tweets visible on the preprint site along the lines of "what do you think?" produced few responses. More recently one directed explicitly at geneticists produced an offsite response from an eminent obesity geneticist "Inconsistent with the direct empirical evidence" (unidentified but presumably GWAS) which led me to an offsite discussion. In that discussion the eminent obesity geneticist defended the strongest claims of the small-effects polygene model using, among other things, an intuition that our results are more consistent with a single gene model, which could then be definitively excluded on lack of genomic evidence: our result must therefore have other unspecified, and presumably artifactual, explanations. My attempts to engage with this discussion have so far (14/02/20) not been successful. Other partly overlapping discussions focus on our lack of genomic data in the context that only genomic evidence is relevant to this area. I have questioned this faith and hope for some response.
Conclusions<br /> The geneticists' responses to our work support the proposition that a polygenic small-effects explanation for obesity is one of those entrenched under-performing big ideas that currently permeate the biomedical literature [3]. It is certainly under-performing in terms of both mechanistic insights into the problem and effective applications, but perhaps not so much in terms of interests vested in the genomics industry, broadly defined. It appears to be entrenched behind a strategy of oxygen-denial to conflicting evidence and the faith of some genomicists in the omnipotence of their methods. It is time to ignore the antagonism of the vested interests and faith-based dismissals and assess our work on other more objective criteria. Perhaps by the epidemiologists?
References<br /> 1. Jenkins AB, Batterham M, Samocha-Bonet D, Tonks K, Greenfield JR, Campbell LV. Segregation of a latent high adiposity phenotype in families with a history of type 2 diabetes mellitus implicates rare obesity-susceptibility genetic variants with large effects in diabetes-related obesity. PLoS One. 2013;8:e70435.<br /> 2. Jenkins AB, Batterham M, Campbell LV. Segregation of Familial Risk of Obesity in NHANES Cohort Supports a Major Role for Large Genetic Effects in the Current Obesity Epidemic. Preprint https://www.biorxiv.org/con...<br /> 3. Joyner MJ, Paneth N, Ioannidis JP. What Happens When Underperforming Big Ideas in Research Become Entrenched? JAMA. 2016;316:1355-1356.
14/02/20
On 2020-02-14 07:50:03, user Arthur Jenkins wrote:
Inadmissible evidence in obesity genetics
Background<br /> My initial interest in this area came out of an interest in adiposity and the various well-recognized failings of existing phenotypes as proxies of the underlying pathophysiology and genetics of obesity. Our initial report of familial segregation was an unexpected result of testing a new rationally constructed phenotype against diabetes family history in a small convenience sample [1]. We saw that result as generating an hypothesis requiring further testing and identified the NHANES data set as the most powerful available to us. We conclude that we have replicated and extended our original finding in the NHANES data [2].
I provide this history, which is implicit in our preprint [2], to emphasise that we did not arrive at our current position through any pre-conceived model of the genetics of obesity. At the time of publication of our initial study (2013) the claims for polygenes with small effect sizes were modest (1-2% of variance) and did not conflict with our results. Since that time the claims for polygenes have grown to the extent that the strongest of those claims are now in conflict with our analyses and interpretations.
Feedback<br /> Journals<br /> I expected that in attempting to publish our findings I would engage with reviewers familiar with obesity genetics and at least come away with a better scientific understanding of the apparent discrepancies between our findings and those coming out of genomics. Far from it. A first attempt in a specialist obesity journal made clear in a very helpful way that our audience was elsewhere and we decided that we must approach geneticists.
The results were at first just disappointing – rapid editorial rejection by the first two genetics journals tried ("not a good fit", "unlikely to receive favourable reviews") – but then quite startling - the third genetics editor rejected without review on the basis of a mis-statement of the hypothesis tested ("that BMI has a strong, single gene effect detectable in a segregation analysis"). It requires more than ignorance to describe our hypothesis of individually rare, but collectively common, variants as a single gene and we finally got the message that evidence against polygenic small-effects explanations for obesity is inadmissible in the genetics literature.
Preprint<br /> Early tweets visible on the preprint site along the lines of "what do you think?" produced few responses. More recently one directed explicitly at geneticists produced an offsite response from an eminent obesity geneticist "Inconsistent with the direct empirical evidence" (unidentified but presumably GWAS) which led me to an offsite discussion. In that discussion the eminent obesity geneticist defended the strongest claims of the small-effects polygene model using, among other things, an intuition that our results are more consistent with a single gene model, which could then be definitively excluded on lack of genomic evidence: our result must therefore have other unspecified, and presumably artifactual, explanations. My attempts to engage with this discussion have so far (14/02/20) not been successful. Other partly overlapping discussions focus on our lack of genomic data in the context that only genomic evidence is relevant to this area. I have questioned this faith and hope for some response.
Conclusions<br /> The geneticists' responses to our work support the proposition that a polygenic small-effects explanation for obesity is one of those entrenched under-performing big ideas that currently permeate the biomedical literature [3]. It is certainly under-performing in terms of both mechanistic insights into the problem and effective applications, but perhaps not so much in terms of interests vested in the genomics industry, broadly defined. It appears to be entrenched behind a strategy of oxygen-denial to conflicting evidence and the faith of some genomicists in the omnipotence of their methods. It is time to ignore the antagonism of the vested interests and faith-based dismissals and assess our work on other more objective criteria. Perhaps by the epidemiologists?
References<br /> 1. Jenkins AB, Batterham M, Samocha-Bonet D, Tonks K, Greenfield JR, Campbell LV. Segregation of a latent high adiposity phenotype in families with a history of type 2 diabetes mellitus implicates rare obesity-susceptibility genetic variants with large effects in diabetes-related obesity. PLoS One. 2013;8:e70435.<br /> 2. Jenkins AB, Batterham M, Campbell LV. Segregation of Familial Risk of Obesity in NHANES Cohort Supports a Major Role for Large Genetic Effects in the Current Obesity Epidemic. Preprint https://www.biorxiv.org/con...<br /> 3. Joyner MJ, Paneth N, Ioannidis JP. What Happens When Underperforming Big Ideas in Research Become Entrenched? JAMA. 2016;316:1355-1356.
Arthur Jenkins PhD<br /> Principal Research Fellow (Honorary)<br /> School of Medicine<br /> University of Wollongong<br /> ajenkins@uow.edu.au
Principal Research Fellow (Honorary)<br /> Diabetes & Obesity Research Program<br /> Garvan Institute of Medical Research
14/02/20
On 2020-02-14 13:11:29, user Hansong Ma wrote:
An interesting study in a cool system exploring the intra-organismal selection of mtDNA transmission.
On 2020-02-14 11:14:35, user Flanders wrote:
I hope you are aware, that implementing the Intel MKL instead of OpenBLAS is very problematic for many users in the field, due to its discriminative behavior based on CPU vendor string.
On 2020-02-14 10:36:59, user Mark Tailor wrote:
Why do you report the photovoltage density? For the photocurrent it makes sense since it scales with the surface area, but the photovoltages doesn't, so why report PVD?
On 2020-02-14 09:50:30, user Thomas Höfer wrote:
This is a previous version of a paper that has appeared in eLIFE:<br /> https://elifesciences.org/a....
On 2020-02-13 12:19:06, user Elena Angulo wrote:
Interesting work, thanks for sahring. The catalonian supercolony in Nantes, how do you think it could have been arrived? Are there links between enterprises of Nantes and Barcelona, Girona, etc.?
Quick question? did you used the Corsican supercolony for comparisons?<br /> Don't you think behavioral/chemical information could corroborate your results and made your point stronger? Behavioral tests are simple to perform and allows assingment of ants between the main or the catalonian supercolonies...
On 2020-02-13 11:31:52, user Stefanie wrote:
This paper has been published in Scientific Reports.
On 2020-02-13 10:47:13, user Priyanka wrote:
Am I only one who can't find the tool or package they used for their simulation and modelling
On 2020-02-13 09:01:12, user take wrote:
Achilles fluorescent protein has been deposited by Drs. Niino and Miyawaki, and is available form the RIKEN BioResource Center.<br /> Achilles/pRSETB (RDB15982)
On 2020-02-13 04:37:08, user Dai Mitsushima wrote:
Now I noticed a serious error in Figure 2F. The Y-axis shows hold increase from the threshold (basal firing rate + 3SD). I will fix and replace as soon as possible. Version 8 or later will be OK.
On 2020-02-13 02:43:05, user naysayer wrote:
Dear Dr. Abdel Hamad, <br /> Thank you for your comments. And more importantly, I wanted to personally thank you again for your prompt and detailed previous explanations of your findings that you send us by email that you have reiterated in your comments here. I think it is important that these discussions will now be public. We had submitted a paper to Cell for consideration as a direct commentary to your article, but they did not think it was worth publishing, and considered our alternative interpretation of the nature of DE cells as ‘too speculative’. We were about to let it go, but we have been persistently queried by people working on single-cell sorting data that have run into similar issues like the ones in our original eLife paper on cell-cell complexes (PMID 31237234), namely the challenge of distinguishing complexes from singlets in standard flow cytometry and single-cell RNA sequencing. The current revised manuscript draft in biorxiv has been submitted to Cytometry Part A, where we can hopefully have a technical and public discussion on the challenges encountered and compare datasets and opinions. As you pointed out, we did not use diabetic samples. And as we confirmed here, we did find 'real' dual-expressors in our imaging data. Our manuscript was not written (and doesn't have the data) to put the conclusions from your Cell paper into doubt. But I hope that you will agree that it is worthwhile pointing out that it is much more challenging to avoid cell-cell complexes in flow cytometry than the use of 'singlet gates' seem to imply.
Sincerely,
Bjoern Peters
On 2020-02-13 02:40:39, user Victor Corces wrote:
melanogaster, with lower case
On 2020-02-13 02:33:59, user Kittichai Jookjantra wrote:
Do the rats have normal immune systems, especially Interferon?
What is the difference in viral load in mice before and after the experiment?
On 2020-02-12 18:15:02, user Timothy Sheahan wrote:
The primers noted in E do not seem to align to the nCoV (SARS-CoV-2) genome. Any idea why?
On 2020-02-12 19:59:48, user David Marjanović wrote:
The statement above to the contrary, and unlike its three preprint versions, this paper (v4) is not a preprint and has been certified by peer review by PCI Paleo (Peer Community In Paleontology). Read the editor's recommendation here.
The trick is that the PCI journals are "journals without a journal": they peer-review and layout papers, but don't store them on their own website – instead, they leave them on preprint servers.
On 2020-02-12 14:15:46, user Kris Vleminckx wrote:
An updated version of this study is now published in the journal Oncogene.<br /> https://doi.org/10.1038/s41...<br /> https://www.ncbi.nlm.nih.go...
On 2020-02-12 13:34:50, user Arjen ten Have wrote:
Nice work, good to see that there are still people working on sedolisins. Structure is not my specialty but still I have some<br /> remarks that might help you. My major question is whether you tried<br /> to obtain crystals from the full length protein. As you also<br /> indicate, the prosegment serves (among others since this is actually<br /> complicated or at least not yet very clear) as a chaperone and some<br /> mutations in the human TPP prosegment appear to be fatal. This<br /> suggest the interaction between prosegment and catalytic domain is<br /> important. The next step is to imply the folding of the prosegment<br /> might also depend on the folding of the catalytic domain. I hope you<br /> agree that we should not stick to the definition of domain as<br /> independently folding unit.
Then, it seems you are unaware of our recent work<br /> (Structure-function analysis of Sedolisins: evolution of tripeptidyl<br /> peptidase and endopeptidase subfamilies in fungi. F Orts, A ten Have.<br /> BMC Bioinformatics 19 (1), 464) in which we analyzed by comparative<br /> analysis eukaryotic sedoslisins (sequences that is). As was suggested<br /> before by Monod’s group (Reichard Appl Environ Microbiol. 2006<br /> Mar;72(3):1739-48.) there are two types of fungal sedolisins:<br /> endo-sedolisins and TPPs. Our analysis (for what it worth since it is<br /> merely biocomputational) suggested an interaction between the major<br /> specificity determining position: K346 in human TPP (PDB idenitifier<br /> 3EE6), K4O7 in Sed_A (endo) and Q377 in Sed_N (TPP), the latter both<br /> from Aspergillus fumigatus, and the prosegment. We believe that this<br /> interaction might be important in the correct folding of either a TPP<br /> or an endosolisin. Hence, it might very well be that the folding of<br /> the prosegment will only occur correctly in the presence of the<br /> catalytic domain.
One remark: your sequence alignments and phylogeny are incomplete<br /> since your datamining was performed using BLAST and given you used a<br /> single sequence as a query (which is a TPP for your information). In<br /> general BLAST is not a good tool for sequence mining since one<br /> typically selects the highest scoring sequences, hence the resulting<br /> dataset is biased towards sequences with high similarity to the<br /> query. You can improve this using the Sed_A sequence from Aspergillus<br /> fumigatus as an alternative query: this will yield different<br /> sequences. Not that you need to do this. It seems you use the MSA<br /> only to determine which is the prosegment. I would however include a<br /> statement that it concerns TPP sequences only. Obviously these are<br /> suggestions.
All the best,
Arjen
On 2020-02-12 09:43:45, user Alex Gobbi wrote:
This pre-print has now been published on Scientific Reports at the following link:<br /> https://doi.org/10.1038/s41...<br /> with the title:<br /> Seasonal epiphytic microbial dynamics on grapevine leaves under biocontrol and copper fungicide treatments
On 2020-02-12 08:30:29, user Benjamin NOWAK wrote:
Thank you for sharing this very interesting work. The idea of a common microbiome for<br /> wheat is inspiring.
But, from an agronomist's point of view, the analysis of the effect of the practices<br /> could be developed further. First, the experimental design does not allow to differentiate between the influence of soil type and the influence of practices. The variability of the microbiome shown in Figure 2 results from the interaction between soil type and practices.<br /> Indeed, the differences observed between soil types result partly from "strict" soil characteristics (such as soil texture and CaCO3 content) and partly from soil characteristics influenced by agricultural practices (such as pH, nitrogen and carbon content).
Moreover, it seems to me that the practices during cultivation are the same for the<br /> "organic" and "conventional" treatments shown in Figure 3. The only effects of the practices highlighted are therefore the indirect, long-term effects on the soil already highlighted in Figure 2. Yet other practices can influence the microbiome in the short term, such as the use of fungicides during the season.
Finally, the difference between "conventional" and "organic" is unclear in the article. Few details are given on the practices applied. For example, the type of tillage is not mentioned anywhere, even though it can have a significant influence on soil life.
Some additional details:<br /> -Table 1: the organic carbon contents of European soils (even those in conventional<br /> agriculture) are high, and not very representative of the contents of agricultural plots. Expressed in organic matter, these contents are between 4.0% and 7.6%, when most French soils are between 1.5% and 3%. this could be mentioned in the discussion, as organic carbon has an important effect on the dynamics of microorganisms in the soil<br /> -Analysis of available concentrations of phosphorus is mentioned L148, but is not given<br /> anywhere in the article. This information is interesting to give especially since microorganisms capable of solubilizing phosphate in the rhizosphere are mentioned below (L641). For example, it might be interesting to compare the ratio of soluble P to total P for different types of microbiomes.
On 2020-02-12 02:17:43, user Eduardo Rodríguez-Román wrote:
In the Abstract> "Additionally, sequence and structural alignment showed that 675-QTQTNSPRRARSVAS-679 was the key sequence mediating 2019-nCoV spike protein, and there was a inserted sequence (680-SPRR-683)". Maybe it is 675-QTQTNSPRRARSVAS-689? This error appears both Abstract and Discussion sections. However, in the Results the authors mention aa675-690.
On 2020-02-11 22:40:05, user Lindsay Wu wrote:
The updated, peer reviewed version of this paper is out at Cell Reports - enjoy!
https://www.cell.com/cell-reports/pdf/S2211-1247(20)30083-8.pdf
On 2020-02-11 22:34:07, user Tan-Trung Nguyen wrote:
Some eukaryotic cytosolic ribosomal proteins possess long C-terminal tails, but understanding the role of r-protein extensions in ribosome function has clearly not been sufficiently addressed. This paper is to show uS19 C-terminal tail contributes in vivo to eukaryotic translation termination