On 2019-01-30 02:49:48, user Lior Pachter wrote:
The downloads numbers for this preprint have been artificially inflated by a bot as described in https://liorpachter.wordpress.com/2019/01/29/technologies-of-narcissism/.
On 2019-01-30 02:49:48, user Lior Pachter wrote:
The downloads numbers for this preprint have been artificially inflated by a bot as described in https://liorpachter.wordpress.com/2019/01/29/technologies-of-narcissism/.
On 2019-01-29 15:37:07, user Oona Snoeyenbos-West wrote:
Congratulations Paola!
On 2019-01-29 08:10:50, user Samuel White wrote:
Quite interesting work. Good job.
On 2019-01-29 05:50:06, user jeff ellis wrote:
given pikp1 recognises AvrPia in the transgenic situation, why wasn’t this interaction previously detected when non transgenic rice carrying PikP was infected with a pathogen carrying AvrPia but not AvrPik?
On 2019-01-29 05:45:11, user jeff ellis wrote:
Very interesting paper but....<br /> “plant NLR immune receptors bait pathogen effectors”
is this the correct use of the verb to bait?
to bait means<br /> 1. to tease, to annoy to taunt etc<br /> or<br /> 2. to PUT bait in a trap
in the current situation the NLR or specifically integrated domain acts as a bait?
On 2019-01-28 13:23:40, user Christian Luz wrote:
This paper reports on many data values on an important and topical research area which, no doubt required considerable work and input.
The study assessed the differences in clinical characteristics within CC5 and CC8. However, it did not explicitly test for differences between CC5 and CC8. Many different models were build but one overall multivariate model is missing. This could, however, make the interpretation much easier, more robust, and match the expectations of the readers.
We discussed this article in our journal club and would suggest to test for differences between CC5 and CC8 in a robust model including all relevant variables and confounders. For example, a Cox regression model with CC5 and CC8, CO-MRSA and HO-MRSA, and the CCI (and other relevant confounders) could help answering the question of differences in patient outcome and assess the adjusted association of CC5 with overall mortality.
(Additional and more detailed comments were sent to the authors by mail.)
On 2019-01-28 13:22:54, user Jorge Almeida wrote:
On 2019-01-28 10:32:45, user Marc Gf wrote:
It is good to have a pathway-like graphical notation for rule-based modeling. The fact that the notation has a general view of a pathway combined with the fact that you can click on each specie to reach deeper insights of it, such as site-specific details and state patterns, provides the user with a powerful tool to sinthesize a huge range of knowledge. It may be useful in manny ways, to share some results in a understandable way, to have a visual support to check the errors while building a model...
Nevertheless, as it happens with SBGN, there is information that this graphical notation systems cannot catch and there is some loss in the conversion to machine-readible formats. Do you think that with this notation, the loss when converting is improved? Do you think would it be possible to update this approach and incorporate some of this specifications in the reaction without creating a tedious graphical model?
Marc.
On 2019-01-28 08:23:27, user Nagasawa wrote:
Some teleost species independently changed their reproductive manner from ‘viviparous’ to ‘ovoviviparous’ system during the evolutionary process.<br /> However, the high quality genomic sequence data of ovoviviparous fishes already published are limited to cyprinodontiformes.<br /> So, this paper is interesting in the point of sequenced the whole genome sequence of rockfish, scorpaeniformes.
But, I think Liu, Zhang, Qi and their colleague should review this paper carefully and discuss again, because of the reasons below.
On 2019-01-27 21:17:22, user Tim Pollington wrote:
Dear sir,
I read your "Quantifying the impact of dengue..." preprint with interest as it mentioned a "tau metric". However on closer inspection of equations 1 & 2 on pages 12-13 I believe a better naming would be "phi metric" and accordingly switching the use of "tau" to "phi" greek letters in the formulae. This is because it is more in keeping with the notation first used by Henrik Salje in "Revealing the microscale spatial signature of dengue transmission and immunity in an urban population" from his equations S10 & S12 on p2 of his supplementary information (https://www.pnas.org/highwi....
Good luck with the submission of your work.
Kind regards,
Tim Pollington.
On 2019-01-27 11:18:19, user Interested_party wrote:
Excellent paper; very useful. Could you provide information as to how the FnCpf1 PS were cloned into the vectors? Looks like you using a TGAG overhang, did you modify pCRISPomyces 2 to remove the gRNA scaffold? Also, will you be making these vectors available?
On 2019-01-27 01:19:42, user Liao Chen wrote:
Great work! Keep my fingers crossed!
On 2019-01-26 20:27:16, user Zhen Miao wrote:
A great method paper for single cell analysis
On 2019-01-26 14:53:59, user Jingjing Liang wrote:
Response to Dormann et al.
Thank you for your comments on Liang et al. 2016. It is always stimulating when someone is discussing our findings. There are many interesting questions you raise, and others neither you nor we have yet wrestled with fully. Please find, below, our response to your comments as numbered on Page 1.
(1) The authors computed “relative tree species richness” in such a way that it represents a gradient from boreal to tropical plots, rather than in local species richness. When instead computing species richness relative to the maximum value in the region the effect of species richness on productivity is dramatically reduced.
Response: Thank you for your suggestion in your first sentence. However, confining our analysis strictly at the ecoregion level would render us unable to derive a true global biodiversity-productivity relationship (BPR) which should account for both intra- and inter-ecoregion variability. There are likely a variety of different ways of assessing this; ours and yours are just two. Considering mounting concerns on the delineation of ecoregion boundaries (e.g. Jepson and Whittaker 2002), an ecoregion-level study would create substantial problems of its own. Thus we believe both options (yours and ours) have strengths and weaknesses, and address the same overall question but from different angles. There are many other issues that could be, and should be addressed, in grappling with how best to do this. This includes whether productivity should be standardized (i.e. the issues raised for richness might also apply in some way for productivity); and how best to standardize either richness or productivity (as there a number of ways of doing this). We are working on delving further into these issues.
Regarding the point in the second sentence, we disagree that the BPR relationship is dramatically reduced when examined at eco-regional scales. We will demonstrate below that even when we use relative tree species richness at an ecoregion-level, the trendline and standard error bands are similar to the global trend as reported by Liang et al. 2016.
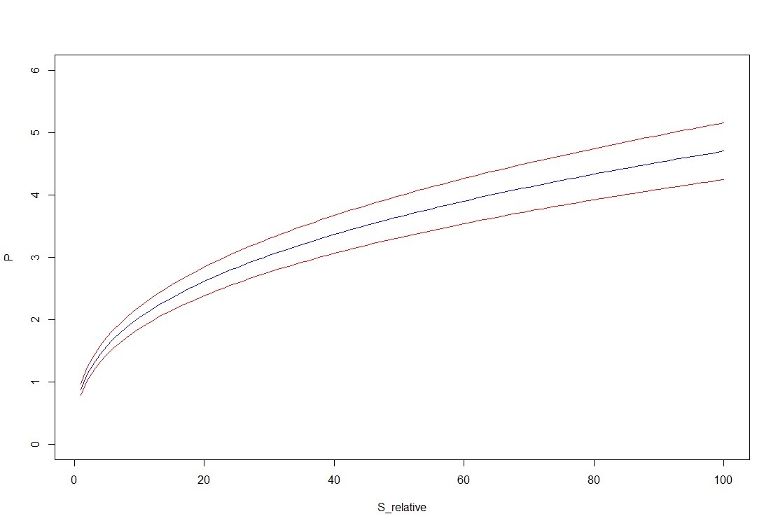
For this demonstration, we selected the three grassland biomes (i.e. Montane Grasslands and Shrublands, Flooded Grasslands and Savannas, and Temperate Grasslands, Savannas and Shrublands), because your graphs in Page 32 suggest that these biomes do not conform to the global trend of Liang et al. 2016. For this analysis, we combined the three biomes together, because there are less than 2000 plots for Montane Grasslands and Shrublands and Flooded Grasslands and Savannas together, and almost a half of the plots within these two ecoregions are monocultures
The combined grassland biomes have a total of 23,133 plots (including ~3000 monoculture plots). For simplicity, we ignored the spatial autocorrelation, and the result from a robust bootstrapping estimation (Efron and Tibshirani, 1993) is quite consistent with the global trend of Liang et al. 2016 (Fig. B1) (see the Appendix for the R script for estimating BPR for the grassland biomes). This is also generally true for most of the other ecoregions (not shown), as long as there are a sufficient number of plots and a sufficient number of mixed-species plots. In fact, the theta values we have produced to date across regions don’t systematically differ from the global one, although we are still working on making sure we are doing these appropriately. So we are unclear how you arrived at the values you did. Additionally, we also think that perhaps we (and you or anyone else working with these data) should eventually re-run everything eliminating data from the desert ecoregion. Looking at the total lack of productivity there it is hard to justify calling anything that went into that group a forest.
We acknowledge that performing an ecoregion-level study would be a good supplement to Liang et al. 2016. We would be glad to collaborate with you or anyone else on this idea. Additionally we believe that examining alternative approaches, including non-parametric models, and different ways of standardizing either or both productivity and richness, to the global relationship would be worth doing.
We also note that we have some residual questions about your approach. We are unable to understand how a global line like yours (your left panel, Figure 1) could average and max out around 2.5 for productivity when so many of the Ecoregions with most of the data have means so much higher than that? Additionally, you call the x-axis of your first panel in Figure 1 ”relative local species richness” which confuses us. If your draws were across all data, then the ‘relative’ value is not ‘local’ even if you used the maximum values of each draw rather than the global max as we did (but we am not entirely sure what you did). If the maximum richness was from each draw, should your x-axis be “sample max” not “local max”. Are we misinterpreting what you did or is this just unclearly labeled?
https://uploads.disquscdn.c... <br /> Figure B1. Estimated BPR curve (with 95% confidence interval bands), using an ordinary least squares (OLS) model, based on the three grassland biomes (i.e. Montane Grasslands and Shrublands, Flooded Grasslands and Savannas, and Temperate Grasslands, Savannas and Shrublands). We converted species richness (S) to relative species richness (S_hat): S_hat = S *100 / 271.
(2) Plots are overwhelmingly from temperate forest; indeed only some 2500 plots are from the tropics (equivalent to 0.4%), despite these forests representing around 30% of the world’s forest. Stratifying the plots accordingly weakens the TSR-P-relationship.
Response: Thanks for the concern raised in your first sentence. We are well aware of that problem, and have even discussed it in our paper. Of course this is just one more case of a general trend of under-documentation of all species (not just trees) from developing countries. This is problem all researchers from developed countries should at least be aware of and try to mend as best we can; we at the GFBi are doing our part and currently trying to collect more samples from the tropics for future research studies.
Regarding your second point, we recognize that stratifying the plots may make the results more robust, but its effect would be limited and will not alter the overall global trend, because you already stated in your comments (Page 20) that “the (stratification) effect is moderate, with slightly lower values than the original non-stratified approach. This result suggests that also with non-stratified sampling always some tropical plots with high species richness are drawn, making the original Š robust to unrepresentative sampling.”
Additionally, because the data are overwhelmingly temperate, roughly 3% boreal, and <1% tropical, and draws in Liang et al 2016 were random across the globe, most of the 500-stand draws in our original 2016 paper were likely to have most data from non-tropical sites, so the influence of tropical high diversity, high productivity sites were likely modest, unless they had extremely high influence per datum on the overall fitted function because of their position in data space (which is possible). This is relevant to your concern (above) about our global result being influenced by the sharp gradient in boreal to tropical forests in both productivity and richness. Similarly, boreal stands would have shown up not very often; maybe 15 or times on average in each 500 stand draw, with tropical stands drawn twice or so on average out of each 500 draw. In contrast, if our data had hypothetically been roughly representative equally of boreal, temperate and tropical forests, the global relationship might have been much more influenced by the gradient from low diversity, low productivity boreal to high-high tropical. In other words, our original data and fits were likely strongly temperate in flavor, despite our concerns about the undue influence of the boreal-tropical gradient. It may be in fact that we should have a different concern; not that boreal-tropical gradient exerted too much influence on our published global fitted relationship of productivity-richness, but that our global analysis ‘undercounted’ the impact of tropical and boreal forests on the global relationship, given that the vast majority of stands in each 500-lot draw were temperate. We are not yet sure how best to check these issues.
(3) In the spatial regression model, distances between plots were computed without taking the spherical nature of earth into account. This had little effect on the slope estimate of the TSRP-relationship.
Response: Thank you for sharing your insight into and findings about this. We appreciate it. We recognize that calculating distances between plots by taking the spherical nature of earth into account may slightly improve the accuracy of our estimated BPR. The magnitude of such improvement is yet to be determined by future research.
(4) The computational burden of the spatial model required subsampling the data to 500 data points. The authors did not correctly compute confidence intervals for this approach, wrongly interpreting subsampling as bootstrapping and additionally incorrectly computing bootstrap standard errors. A correct subsampling-based estimation led to approximate trippling of the reported confidence interval.
Response:
Thank you for raising this concern. Bootstrapping is only efficient at depicting a global trend if the re-sampling size is close to the global sampling size (Efron and Tibshirani 1993). However, for our study, the 500-plot subsample is far from our global sampling size (>700,000). Considering that you used a minimalism approach, in which “while Liang et al. (2016) run 10000 bootstraps, we only do 50,” (p.8) your suggested global results only represent, in fact, ~ 50*500=25000 plots or approximately 3 percent of the global sample. In other words, there is a 97% information loss in your approach.
In the textbook description of the bootstrapping by Efron and Tibshirani (1993), echoed by many (e.g. Hesterberg 2015), it is outlined that the bootstrap sample should be equal in size as the original sample, and that any smaller re-sampling sizes would lead to a biased estimate of standard error. This is also the main reason why you did not find a significant global BPR as it should have been.
Allow us to demonstrate, with R-code (in blue) and outputs, how we have derived our results. While there is well-established literature regarding the validity of the subsampling method we have taken, less is known about an appropriate choice of the size of a subsample and the number of subsamples. With a global sample size over 600,000, we have chosen the subsample size to be 500 and a total of 10,000 subsamples out of consideration for computational feasibility and adequate representation of the global sample. Our approach leading to these choices is indeed ad-hoc and the standard errors are at best approximations. We welcome ideas and possible collaboration to establish more rigorous approaches. On the other hand, with a large amount of data and thus information, statistical significance is not tenuous to attain.
https://uploads.disquscdn.c... <br /> Figure 1. A graphic demonstration of the Geospatial random forests model. We randomly select 500 plots from across the world as one study unit or “subregion” (yellow), calibrate one biodiversity-productivity relationship (BPR) using the model, and draw a ceteris paribus BPR curve. Repeating this 10,000 times provide a sufficient global coverage as each plot has on average been covered for ~7 times (500*10000/720000≈7). Note that actual subregions can be spatially discontinuous depending on the randomization. <br /> A major strength of this approach is that it does not require any a priori assumption on the population distribution or any a priori delineation of forest type units across the world, within which forests have similar conditions. This is especially useful because there is no universally accepted forest type delineation across the world (FAO 2015).
library(nlme)
data<- read.csv("GFB1_data_figshare.csv")<br /> data <- subset(data, P>0)<br /> data <- subset(data, S>0)
quantile(data$S,0.99996)<br /> quantile(data$P,0.99996)
data1 <- subset(data,data$S<=270 & data$P<=533 & data$S >0 & data$P>0) # removed 894 plots with 0 or extreme S and P values
logP <- log(data1$P)
Lon1 <- data1$Lon+ runif(length(data1$Lon),-0.0001,0.0001)<br /> Lat1 <- data1$Lat+ runif(length(data1$Lat),-0.0001,0.0001)<br /> data1 <- cbind.data.frame(data1, logP, Lat1, Lon1)
coef <- matrix(0, nrow=10000, ncol=20) # Coef Matrix
for(i in 1: 10000) {<br /> tryCatch({<br /> training <- data1[sample(1:nrow(data1), 500, replace=FALSE),] # turn 'replace' off to maximize inclusion of new plots<br /> logS <- log(training$S)<br /> training <- cbind.data.frame(training, logS)<br /> gls1 <- gls(logP~ logS + G + T3 + C1 + C3 + PET + IAA + E, data=training, method="ML", corr= corSpher(form = ~ Lon1 + Lat1, nugget = TRUE), control=glsControl(singular.ok=TRUE))<br /> coef[i,3] <- i<br /> coef[i,4] <- logLik (gls1)<br /> coef[i,5] <- AIC (gls1)<br /> coef[i,6]<- BIC (gls1)<br /> #Generalized coefficient of determination<br /> gls0 <- gls(logP~ 1, data=training, method="ML") <br /> R2 <- 1-exp(logLik(gls0)-logLik(gls1))^(2/500)<br /> coef[i,7]<- R2<br /> coef[i,8] <- coef(gls1)[1] <br /> coef[i,9] <- coef(gls1)[2]<br /> coef[i,10] <- coef(gls1)[3]<br /> coef[i,11] <- coef(gls1)[4]<br /> coef[i,12] <- coef(gls1)[5]<br /> coef[i,13] <- coef(gls1)[6]<br /> coef[i,14] <- coef(gls1)[7]<br /> coef[i,15] <- coef(gls1)[8]<br /> coef[i,16] <- coef(gls1)[9]<br /> coef[i,17] <- 0<br /> # Baseline (S=1) productivity<br /> # logS + B1 + T3 + C1 + C3 + PET + IAA + E<br /> newdata <- data.frame(logS=0, G=mean(training$G), T3=mean(training$T3), C1=mean(training$C1), C3=mean(training$C3),PET=mean(training$PET), IAA=mean(training$IAA), E=mean(training$E))<br /> coef[i,20] <- exp(predict(gls1,newdata))<br /> #counter<br /> cat(i, " of ", 1000, date(),"Theta=",coef(gls1)[2], "R2=", R2, "\n" )<br /> #remove files<br /> rm(training, newdata, gls1, R2)<br /> }, error=function(e){})<br /> }<br /> coef_df <- as.data.frame(coef)
names(coef_df) <- c("0", "0", "i", "Loglik", "AIC", "BIC", "R2","const","theta", "B", "T3", "C1", "C3", "PET", "IAA", "E", "0", "0", "0", "P_1")
write.csv(coef_df, "global_estimates.csv")
data<- read.csv("global_estimates.csv")
theta <- data$theta<br /> mean(theta)<br /> P_base <- mean(data$P_1)
S <- seq(1,271,1)<br /> S_hat <- S*100/271
P_est <- data.frame(matrix(0, 10000, ncol =273))<br /> P_est[,1] <- P_base<br /> P_est[,2] <- theta
for (i in 1:10000){<br /> P_est[i,3:273] <- P_est[i,1] * S ^ P_est[i,2]<br /> }
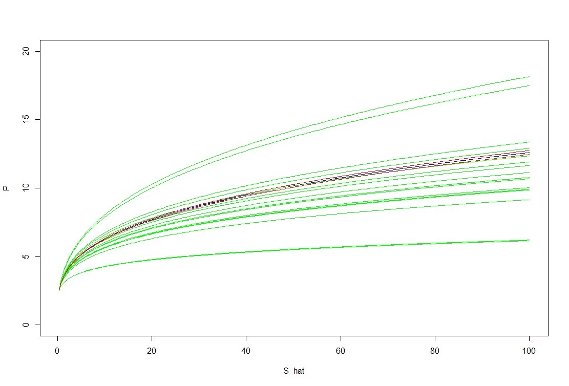
plot(S_hat,colMeans(P_est[,3:273]), ylim=c(0,20), type="l",col = "blue", ylab="P")<br /> for (i in 1:18){<br /> P_est[i,3:273] <- P_est[i,1] * S ^ P_est[i,2]<br /> lines(S_hat,P_est[i,3:273],col = "green")<br /> }
lines(S_hat,colMeans(P_est[,3:273])+1.96*apply(P_est[,3:273], 2, sd)/sqrt(10000), ylim=c(0,20), type="l",col = "red")<br /> lines(S_hat,colMeans(P_est[,3:273])-1.96*apply(P_est[,3:273], 2, sd)/sqrt(10000), ylim=c(0,20), type="l",col = "red")
https://uploads.disquscdn.c... <br /> Figure 2. Sample BPR curves from the 10,000 estimated curves from across the world. The figure is nearly identical to Fig. 3A of Liang et al. 2016, with some minor differences due to the random process. For easy comparison across the world, we set the base value of P as 2.5m3ha-1yr-1, and convert species richness (S) to relative species richness (S_hat): S_hat = S *100 / 271.
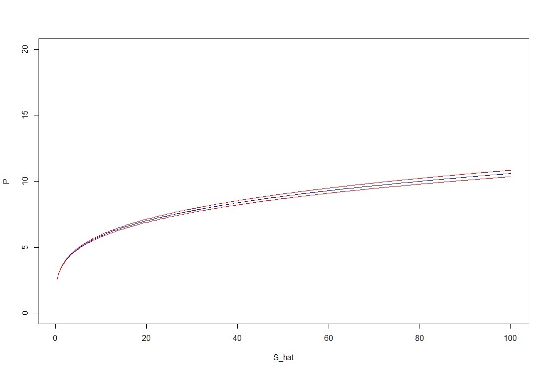
data <- read.csv("GFB1_data_figshare.csv")<br /> data1 <- subset(data,data$S<=270 & data$P<=533 & data$S >0 & data$P>0) # removed 894
logS <- log(data1$S)<br /> ols1 <- lm(logP~ logS + G + T3 + C1 + C3 + PET + IAA + E, data=data1)
theta <- coef(ols1)[2]<br /> summary(ols1)<br /> se_theta <- 2.100e-03
S <- seq(1,271,1)<br /> S_hat <- S*100/271<br /> P_base <- 2.5
P_est_ols <- P_base * S ^ theta # mean predicted BPR<br /> P_est_ols_ub <- P_base * S ^ (theta+1.96* se_theta) # upper bound of 95% CI<br /> P_est_ols_lb <- P_base * S ^ (theta-1.96* se_theta) # lower bound of 95% CI
plot(S_hat, P_est_ols, ylim=c(0,20), type="l",col = "blue", ylab="P")
lines(S_hat,P_est_ols_ub, ylim=c(0,20), type="l",col = "red")<br /> lines(S_hat,P_est_ols_lb , ylim=c(0,20), type="l",col = "red")
The corresponding line plot is printed below. According to this graph, the BPR has the same curvature, but estimated productivity (P) is in general 10-20% lower than the estimated values from the Geospatial random forests, presumably due to the fact that spatial autocorrelation is not accounted for in the OLS model. Nevertheless, the confidence interval from the OLS model generally matches the confidence interval from the Geospatial random forests (Fig. 2).
https://uploads.disquscdn.c... <br /> Figure 3 Estimated BPR curve (with 95% confidence interval bands), using an ordinary least squares (OLS) model, based on the entire GFB sample with >700,000 plots. For easy comparison across the world, we set the base value of P as 2.5m3ha-1yr-1, and convert species richness (S) to relative species richness (S_hat): S_hat = S *100 / 271. <br /> <br /> (5) As noted earlier (Schulze et al., 2018), some 4% of the plots had productivity values (far)<br /> beyond what is biologically plausible (Stape et al., 2010). The likely reason is that small plots with large inventory errors in the productivity may lead to erratically high values. Not taking this into account in the analysis, e.g. by down-weighting plots with productivities above 30 m2ha????1y????1 at least indicates an unre ected use of data.
Response: <br /> Thank you for your concern. As shown in the R-code above, we have removed extremely high productivity values, above the top 0.004 percent quantile (P<=533). It is admittedly a difficult task to filter out the potentially biased values from such a large sample, but we are working with data scientists and data contributors to further improve the accuracy of our data.
References
Efron, B., and R. J. Tibshirani. 1993. An introduction to the bootstrap. Chapman & Hall, New York.<br /> FAO. 2015. Global Forest Resources Assessment 2015 - How are the world’s forests changing? , Food and Agriculture Organization of the United Nations, Rome, Italy.<br /> Hesterberg, T. C. 2015. What teachers should know about the bootstrap: Resampling in the undergraduate statistics curriculum. The American Statistician 69:371-386.<br /> Jepson, P., and R. J. Whittaker. 2002. Ecoregions in Context: A Critique with Special Reference to Indonesia. Conservation Biology 16:42-57.
Appendix: R script for estimating BPR for the grassland biomes
library(nlme)
data<- read.csv("GFB1_data_figshare.csv")<br /> data <- subset(data, P>0)<br /> data <- subset(data, S>0)<br /> attach(data)
data1 <- subset(data, data$Ecoregion==10 | data$ Ecoregion ==9 | data$Ecoregion ==8)<br /> data1 <- subset(data1,data1$P<=quantile(data1$P,0.999))
coef <- matrix(0, nrow=50, ncol=101) # Coef Matrix
for(i in 1: 50) {<br /> tryCatch({
training <- data1[sample(1:nrow(data1), 23133, replace=TRUE),]<br /> logP <- log(training$P)
Lat1 <- training$Lat + rnorm(length(training$Lat))<br /> Lon1 <- training$Lon + rnorm(length(training$Lon))<br /> training <- cbind(training, logP, Lat1, Lon1)
S_max <- max(training$S)<br /> SR <- training$S/S_max*100
logS <- log(SR)<br /> training <- cbind(training, logS)
lm1 <- lm(logP~ logS + G + T3 + C1 + C3 + PET + IAA + E, data=training)
newdata <- data.frame(logS=log(seq(1,100,1)), G=mean(training$G),T3=mean(training$T3), C1=mean(training$C1), C3=mean(training$C3),PET=mean(training$PET), IAA=mean(training$IAA), E=mean(training$E))<br /> coef[i,1] <-coef(lm1)[2] #theta<br /> coef[i,2:101] <- exp(predict(lm1,newdata))<br /> plot(coef[i,])<br /> #counter<br /> cat(i, " of ", 50, date(), "\n" )
rm(training, newdata, gls1)
}, error=function(e){})<br /> }
coef_df <- as.data.frame(coef)
write.csv(coef_df, "Ecoregion_Grasslands_BPR.csv")
plot(seq(1,100,1),colMeans(coef_df[,2:101]), ylim=c(0,6), type="l",col = "blue", ylab="P",xlab="S_relative")
lines(seq(1,100,1),colMeans(coef_df[,2:101])+1.96*apply(coef_df[,2:101], 2, sd), ylim=c(5,8), type="l",col = "red")<br /> lines(seq(1,100,1),colMeans(coef_df[,2:101])-1.96*apply(coef_df[,2:101], 2, sd), ylim=c(5,8), type="l",col = "red")
On 2019-01-26 05:30:13, user Andre wrote:
This is a link to my bipolar experiences and background that accompanies this paper: in a LinkedIn article https://www.linkedin.com/pu...
On 2019-01-04 21:07:27, user Andre wrote:
This manuscript will only be available on bioRxiv as I have decided to never publish it elsewhere. Its also part of my own personal history as I am also one of the bipolar I probands.
On 2019-01-25 19:36:40, user Ryan Sangston wrote:
In press, Biotechniques
On 2019-01-25 15:09:07, user sudheer kumar wrote:
Amazing work..!! Very exciting....
On 2019-01-25 14:33:31, user Michael Monaghan wrote:
This was published 14 August 2018 in Mol Ecol Res: https://onlinelibrary.wiley...
On 2019-01-25 10:08:55, user David Rosenkranz wrote:
Dear Dr. Donald Forsdyke,<br /> we are very happy and highly appreciate your valuable and helpful comments. We believe that all the points you listed are worth being mentioned and discussed in the paper. Your comments are the more important for us as we actually stumbled into this field, coming from the small RNA scene. We have previously observed a connection between secondary structure of some transposons and target sites for Piwi-interacting RNAs. Thus we were simply wondering whether antiviral host defense mechanisms that base on small guiding RNAs (piRNAs or siRNAs) may influence virus RNA structure evolution. In the end we have to clearly say that we still cannot do more than speculate on this point.<br /> Our inexperience in the field may not excuse but maybe explain the fact that we missed to consider all the relevant work that was already done in this field, which applies particularly to your cool paper “Reciprocal relationship between stem-loop potential and substitution density in retroviral quasispecies under positive Darwinian selection”. In fact we apply the same shuffling approach to retain codon composition and GC content in order to detect signs of selection that acts solely on the level of RNA structure.<br /> One important point you addressed is our measurand which we call degree of backfolding (DBF), which simply refers to the in silico predicted fraction of paired bases within the coding sequence of an mRNA. Using this measurand rather than the thermodynamic free energy has a number of reasons and obviously we have to explain them clearer in the manuscript.<br /> For the prediction of secondary structure we use the RNAplfold tool from the ViennaRNA package which gives local RNA structures instead of global RNA structures. We do so because this is believed to be more accurate for longer sequences. RNAplfold outputs a number of possible local structures which often intersect with each other and for each structure it calculates the probability for a specific base to pair with another base. When using this data it is not possible to seriously calculate the global free energy, instead we can give a good estimate on the global number of paired bases.<br /> Besides considerations on accuracy when preferring RNAplfold over RNAfold, there are also issues related to computational load. We analyzed roughly one million natural coding sequences, and 300 artificial sequences (100 per model) for each natural sequence, meaning 301 million sequences. It would have been impossible (with our resources) to predict global RNA folding (and thus free energy) which would have lengthened computation time from 38k CPU hours to 500k CPU hours.<br /> Thanks again for the time and efforts you have spent, and for your comments which have broadened our view and will clearly help to improve the quality of this work.<br /> Best regards,<br /> David
On 2019-01-24 16:47:04, user Donald R. Forsdyke wrote:
The authors acknowledge that “that it is not trivial to disentangle” nucleic acid secondary structure and codon usage “since one will influence the other.” Their valuable study extends across a wider range of species than previous studies. Albeit with fewer species, we covered similar ground in the 1990s (1-3). On the major issues there is complete agreement. “Selection that acts on secondary structures,” is “a widespread phenomenon, affecting many genes in species throughout the domains of life.” Selection either supports or negates structure, so does not “act only in one direction.” However, we employed a more sensitive measure of structure than the “degree of backfolding” (DBF) used in the present work. Furthermore, we compared genome coding sequences with genome non-coding sequences and came to very different conclusions. Here are some points for consideration.
RNA viruses with high secondary structure are genomes. Indeed, all genomes, DNA and RNA, have the potential to depart from the WC duplex form and extrude stem-loops, both in genic and non-genic regions. Kleckner has related this to the “kissing” interactions through which chromosomes seek homologs at meiosis, a process that can lead to gene conversion and mutation correction. This should often be advantageous. Thus, there is structural selection operating at the genome level and some of the structure seen at the transcript level is merely a default reflection of this genome-level pressure (1).
Locally in exons, pressure for nucleic acid secondary structure tends to conflict with other local pressures: protein-encoding pressure, purine-loading pressure, and RNY pressure. So structural potential can decline, especially in genes under positive selection pressure (2). In the latter case protein-encoding pressure will overrule fold-pressure; in the authors’ words “codon composition and amino acid identity are main determinants of RNA secondary structure,” and there can be “extremely low secondary structures significantly more often than expected by chance.” Since most genes are not under positive Darwinian selection, the selection pressure for the evolution of secondary structure potential in exons is usually accommodated.
Thus, codon choice and sometimes the nature of the encoded amino acid may be secondary to other local pressures on exons, as well as to more general pressures, such as that of GC%.
We used a thermodynamic measure of structure potential rather than the “degree of backfolding” (DBF). Furthermore, we simply shuffled our sequence segments (hence maintaining GC%) and compared thermodynamic measures to provide evidence on whether selection had acted for or against structural potential. Since we arrived at the same major conclusions, the authors might indicate any advantages of their local codon-centered approach, possibly easier computation.
Free RNAs in a crowded intracellular environment should automatically assume the most energetically favorable structure. This usually entails some degree of folding that may protect from some nucleases. Normally RNAs first interact with other RNAs through the above mentioned “kissing” interactions of their single-stranded loops. Thus, the assumption that “ORFs of viral genes may exhibit high levels of backfolding in order to escape small RNA based anti-viral responses of host immune systems,” may be incorrect, as the authors deduced when their results did not conform to expectations.
HIV literally mutates itself to extinction, but its duplex inheritance provides an opportunity for recombination mediated error-correction in a future host. Thus, factors that improve HIV’s recombining activity (i.e. ability to adopt stem-loop secondary structure) should be selectively advantageous (3, 4).
References<br /> 1. Forsdyke, D.R. (1995) Mol. Biol. Evol. 12, 949-958. A stem-loop "kissing" model for the initiation of recombination and the origin of introns. <br /> 2. Forsdyke, D.R. (1995) Mol. Biol. Evol. 12, 1157-1165.Conservation of stem-loop potential in introns of snake venom phospholipase A2 genes: an application of FORS-D analysis. <br /> 3. Forsdyke, D. R. (1995) J. Mol. Evol. 41, 1022-1037. Reciprocal relationship between stem-loop potential and substitution density in retroviral quasispecies under positive Darwinian selection. <br /> 4. Forsdyke, D.R. (2016) Evolutionary Bioinformatics, 3rd edition (Springer, New York).
On 2019-01-24 23:00:41, user Shaun Jackman wrote:
This paper has been published in Cell Systems: https://doi.org/10.1016/j.c...
On 2019-01-24 20:20:15, user friend wrote:
I would like to inform authors that the gold standard reference gene trees available on SwissTree's FTP have many identifiers that do not correspond to the FASTA sequences provided (selected case: HoxA9_XENTR_ENSXETG00000000724 in ST006). The FTP could use a README file explaining the content of the files - are gold standard trees stored in the swisstree.nhx file or in consensus.nhx file within directories (ST001-ST012)? Also, the gene trees ST003-4, ST006-12 are not displaying at all on the SwissTree website.
On 2019-01-24 13:54:53, user Bruce Schultz wrote:
Great paper and wonderful idea for creating a KGE tool that makes it much more accessible for anyone to create their own model. I noticed that you chose random search over grid search, but did you consider using any Bayesian optimization methods such as Sequential model-based optimization (SMBO)? There seem to be more tools available now in Python for performing this type of optimization such as Spearmint and Hyperopt. Thanks
On 2019-01-24 10:41:49, user Omesh Bharti wrote:
Dear Authors,<br /> Congratulations on such a nice study. We also did the same study and found that five dose PEP to bovine by lab confirmed rabid animals protected then by giving vaccine intradermal and RIG into the wound. Intradermal titres using a vaccine Rabivac Vet were higher than IM vaccination.
On 2019-01-24 10:31:36, user Gerard Versteegh wrote:
The acoustic aspects of co-evolution seem to have a new dimension. Next to buzz-pollination, 'buzz-nectaration' also shapes the acoustic properties of insects and plants (and associated behavior). I always wondered why insects re-visit flowers in e.g. a flower spike several times. One would suppose that after the first visit the nectar is gone but if the flower is rapidly refueled by a higher quality nectar it is fully understandable. To motivate the insect to move on to more distant plants after a while, nectar release should become exhausted after a few visits though.
On 2019-01-21 14:40:18, user Dubayew wrote:
Dubayew: Seems the Secret Life of Plants is alive and well.
On 2019-01-13 22:52:50, user polistra24 wrote:
Fascinating! Raises a question in my mind. Many flowers have petals of varying length, which could serve as resonators for separate freqs. Some flowers are arranged in a logarithmic spiral. A lot like a cochlea...
On 2018-12-31 09:03:42, user Gianluca Polgar wrote:
just wow. Where was this submitted?
On 2018-12-30 00:57:31, user José Feijó wrote:
Maurice MJ Martens from Nijmegen Univ made wonderful studies on the acoustics of plants e.g. https://asa.scitation.org/d..., you guys should check it, to my knowledge he has not done anything like this, but he was a true pioneer and should be acknowledged by that
On 2019-01-24 09:15:18, user Diego di Bernardo wrote:
very interesting results. In a 2016 Oncotarget publication we confirmed the effects of Niclosamide on cancer cells with the constitutive activation of the PI3K/P70S6K signalling axis: https://www.ncbi.nlm.nih.gov/pubmed/27542212
On 2019-01-24 07:41:35, user NealeLab wrote:
We are currently revising this manuscript following useful suggestions from referees. Our main goal is to further test the activity of TDP2 in meiotic cells. We will post an updated version including these experiments in due course. Original version posted here for practical reasons: A follow-up study coming this week!
On 2019-01-24 06:05:11, user Huxley Mae wrote:
In my opinion, aflatoxins contamination to foodstuff is critical to human health, hence, fast and accurate methods of for aflatoxins production are inevitable, This method represents an alternative approach to determine aflatoxin production from Aspergillus species and can be impactful. Once improved it can be helpful in assessing the Aspergillus spp. interaction in terms of toxins production that is essential prior to use of such fungal spp. as biological control
On 2019-01-23 19:12:13, user Elena E wrote:
As a graduate student in Bioinformatics, I found your work described in this paper very relevant. Perhaps as an extension of this work, have you considered to exploit the phenotype relationships into a separate easily interpretable representation (apart from the EQ graph)? For example, it might be useful to have a standardized tree representation showing the related entities as parent-child relationships. Since you are already using natural language as input it should not be an issue to further define these relationships if they are not present in the text itself.
On 2019-01-23 16:42:36, user Marco Pessoa wrote:
A quick look at the manuscript gives the impression that the title is misleading, to say the least, since the authors did not produce an assembly or any genomic sequence for P. edulis. They do state this in the introduction, but not the title nor the abstract.
On 2019-01-23 15:36:38, user Karma wrote:
https://patents.google.com/...
These investigations need RF spectrum analysis. Audio recordings are irrelevant.
On 2019-01-08 05:55:31, user Isaul wrote:
Ok, now can you explain the China sounds?
On 2019-01-23 10:38:42, user Nour Alhanafi wrote:
Thank you for the nice explanation of KPG-miner tool and its application. Pathway analysis is very important for gaining insight into the biology of deferential expressions in different conditions and increasing the explanatory power. However, there is so far no consensus definition of a pathway. Furthermore, different pathway databases have different representation of the same pathway, sometimes lack the contextual information and may even have some contradictions. I believe this tool may help the researchers, with no programming knowledge, analyze their high-throughput experiment results. However, in my opinion, it is still not sufficient to have one database as a resource to interpret the results. I think it is better to integrate the knowledge deposited in the major pathway databases. Therefore, I suggest you extend KPG-miner tool to aggregate functional annotations from many pathway databases.
On 2019-01-23 07:17:45, user Min May wrote:
This paper has been accepted and published by PNAS. https://www.pnas.org/conten...
On 2019-01-23 03:13:41, user Min May wrote:
This paper has been accepted and published by PNAS, please refer to the link below<br /> https://www.pnas.org/conten...
On 2019-01-22 15:48:52, user Ashfaq Ur Rehman wrote:
I tried once this study was published, is to explore both the author <br /> claims that were mentioned in this article, visual inspect demonstrate <br /> that upon distal mutation, the POA/PZA showed resistance to RpsA in term<br /> of loosing the HB interactions with binding site residues throughout <br /> 500ns MD simulation time (RpsA-WT+POA, RpsA+WT-POA, RpsA+M1+POA, and <br /> RpsA+M1-POA, ), which further support the result of Wanliang Shi et al. if some on need to see the dynamics results, i can provide the pre-tested results.
you can reach me through (raysjtu@sjtu.edu.cn)
On 2019-01-22 14:02:14, user Kat wrote:
Hi, I can't find Mac OS installers, only windows files...
On 2019-01-21 20:41:01, user Stuart Ali wrote:
Great work. So pleased to attend your talk in Johannesburg, sharing your experience and in-sites with the local teams here!
On 2018-12-14 17:12:43, user Ami S Bhatt wrote:
Thanks for the comment. We are uploading these data now and hope they'll be made public early in the new year.
On 2018-12-10 09:27:41, user Narendrakumar Chaudhari wrote:
Great work. Hopefully, the PRJNA508395 is available soon.
On 2019-01-21 17:12:51, user John Mcdonald wrote:
Impressive paper ,very detailed, I hope they publish in Nature. a true path in ageing research
On 2019-01-21 17:02:35, user Philmorin64 wrote:
How does mPCRseq differ from GT-seq?
On 2019-01-19 14:28:28, user jean-christophe.jonas wrote:
Very nice study. It is very important to study islets in vivo, especially regarding beta-cell redox changes in diabetes. I would just like to draw your attention to one of our papers you did not cite about the acute effect of nutrients on cytosolic and mitochondrial glutathione oxidation in rat islet cell clusters by Hilton Takahashi et al. in Biochem J (2014) 460: 411-423. Of course we used Ad-CMV-GRX1-roGFP2 and Ad-CMV-mt-GRX1-roGFP2 infected islet cells but the results (acute reduction of mitochondrial glutathione by glucose stimulation and no acute impact on cytosolic glutathione) mainlly reflect what happens in beta-cells. Indeed, in vitro adenoviral infection of islet cells induces CMV-driven probe expression in ~90% of beta cells, but only in 20% of alpha cells and 50% of delta cells.
On 2019-01-19 13:42:28, user Tgalli wrote:
published following peer-review: iScience. 2018 Jun 29;4:127-143. doi: 10.1016/j.isci.2018.05.016. Epub 2018 May 29.
On 2019-01-19 13:25:29, user Жирков Анатолий wrote:
Beautiful idea, supported by good database. Interesting conclusion. I think it is not final True but important step to real model of Health. The clock is ticking!
On 2019-01-19 05:15:48, user eight oh wrote:
Interesting work! I do have one concern. In Figure 5, you show that age is strongly associated with the study (i.e. ENA accession number). Many of these studies are from different populations, including different countries and even different disease cohorts. Even if you only used the healthy subjects from these studies (and note that the "healthy" population for different disease studies is not always the same), a major challenge for microbiome research is "batch effects", which make it nearly impossible to combine data from different studies. Therefore, it seems extremely likely that your model is learning these "study-specific" microbiome signatures, and not necessarily a "microbiome clock."
To give an example, it looks like most of your "young" samples were sequenced in China, while most of your "old" samples were sequenced in Europe. Therefore, part of the "aging" signal might reflect either differences between China and Europe, or "batch effects" that were induced because the samples were processed separately, possibly with different protocols (however, these problems are pervasive even when using identical protocols). Just to reiterate, these "batch effects" are VERY important to account for.
I am not trying to discredit your work in any way. Overall, I think aging of the microbiome is fascinating, so I definitely hope you picked up a real signal! But to strengthen the conclusions, it might be helpful to look into the points I mentioned above.
On 2019-01-14 20:54:19, user John C. Earls wrote:
Did you include people in the training set that were also in the test set? Or am I reading this wrong?
On 2018-12-29 22:18:36, user Alex Zhavoronkov wrote:
We are looking for collaborators with the WS microbiome sequencing data, annotated with age, sex and disease/lifestyle choice/drug, etc. to test the clock. Please forward this paper to your friends interested in the microbiome. We are interested in testing the clocks in a variety of applications.
Constructive criticism, comments, and edits are very welcome. This paper needs to be polished.
On 2019-01-19 10:33:17, user Constantin Rothkopf wrote:
This is a pre-print of an article published in Scientific Reports. The final authenticated version is available online at: <br /> https://doi.org/10.1038/s41...
On 2019-01-18 20:17:50, user vox_populi wrote:
I will read this, Henry.
On 2019-01-18 17:45:51, user Takahiro G Yamada wrote:
This is a pre-print of an article published in Scientific Reports. The final authenticated version is available online at: https://doi.org/10.1038/s41....
On 2019-01-18 14:24:03, user GuyguyKabundi Tshima wrote:
This comment is my humble contribution to the understanding of the tropical neglected diseases problem and their solution mainly human African trypanosomiasis. Thanks for your read.
On 2019-01-18 14:14:07, user GuyguyKabundi Tshima wrote:
Sleeping sickness is a fatal disease transmitted by flies, it threatens more than 65 million people worldwide and most reported cases (more than 8 out of 10) are in the Democratic Republic of the Congo. The disease attacks the nervous system and can lead to death. While nearly 70% of all sleeping sickness cases are in the Democratic Republic of the Congo, the efforts of the Democratic Republic of the Congo Ministry of Health and its partners have made considerable progress towards the complete elimination of this devastating the nervous system disease [1,2].<br /> Neglected tropical diseases cause suffering such as blinding trachoma, the leading cause of infectious blindness in the world, or sleeping sickness, a life-threatening parasitic infection that can reach the central nervous system, causing psychiatric disorders in its victims. Despite being less known than malaria or Ebola, these diseases cause blindness, disfigurement, and disability, locking up 1.5 billion people worldwide in a vicious circle of poverty. Neglected tropical diseases also prevent parents from working and children from going to school [3].<br /> The manuscript addresses an important topic, Adoption of the Resolution on Neglected Tropical Diseases at the 17th Summit of La Francophonie. Overall, there is interest in commenting with an appreciation of the relevance of this adoption to the ridding of sleeping sickness out the Democratic Republic of the Congo [1,2].<br /> The Democratic Republic of the Congo may take advantage of this new impetus to take the final steps to finally end sleep sickness. If we succeed in eradicating this disease, future generations of Congolese will never again suffer the disastrous consequences of sleeping sickness [1,2].<br /> We comment this paper to mark the great achievement of the adoption of this resolution because a patient with sleeping sickness at the neurological stage (second stage) with closed eyes and frozen, seems cut off from the world around him, he cannot work and take care of his family and relatives. He is a patient about to die. At this second stage, the patient’s state is troubling. This stage contribute to more poverty as the patient is sleeping during the day or the work time in a developing country that need all his workers to be involved in the global effort of development to reach the first objective of the sustainable development goal (SDG) i.e. no poverty [1,2, 3].<br /> Fortunately, after decades of hard work, the Democratic Republic of the Congo has never been closer to eradicating sleeping sickness. In 2009, the number of reported cases dropped below 10,000, the first in half a century. In 2015, only 2804 cases had been listed. The Democratic Republic of the Congo is committed to eradicating the disease by 2020, which will pave the way for its global eradication [1,2]. <br /> On January 30, 2018, the Democratic Republic of the Congo Ministry of Health launched the first National Day of Human African Trypanosomiasis to celebrate the Democratic Republic of the Congo government's commitment to eradicating sleeping sickness by 2020. He took the opportunity to present the government's national strategy which is based on new technologies and an innovative approach to early detection of the disease. The celebration of the first National Day of Fight Against African Human Trypanosomiasis (HAT) aimed to mark the commitment of the Government in this fight [1,2].<br /> From October 11 to 12, 2018, the Heads of State and Government of the French-speaking world met in Yerevan, Armenia, for the 17th Francophonie Summit on the theme "Living together in solidarity, the sharing of humanist values and respect for diversity: a source of peace and prosperity for the French-speaking world ". On this occasion, the Democratic Republic of the Congo submitted a Resolution on Neglected Tropical Diseases which was adopted unanimously by the leaders of the Francophonie. This is an important victory for the Democratic Republic of the Congo, which has been leading the international fight against neglected tropical diseases, especially sleeping sickness, for several decades [1,2,3].<br /> Thanks to these decades of work, we have never been so close to the definitive elimination of sleeping sickness. The number of reported cases has increased from 300,000 in 1998 to 2,804 in 2015 [1,2].<br /> These achievements prove that the elimination of neglected tropical diseases is possible when there is a strong commitment of public authorities accompanied by scientific research centers, civil society and the private sector[1,2,3].<br /> In adopting this resolution, the Heads of State and Government present at the Summit affirmed their shared commitment to eliminating neglected tropical diseases in the French-speaking world, particularly through research, prevention, diagnosis, treatment, and rehabilitation. sensitization. "We are committed to supporting efforts to accelerate academic and scientific research in areas such as diagnosis, preventive chemotherapy, and action to promote access to treatment and medications, high-quality medical products and an affordable price for the poorest populations, as well as to reflect, as appropriate within WHO, in the field of technology transfer, in compliance with international rules on intellectual property, voluntarily and on mutually agreed terms, "they pledged [1,2,3].<br /> In addition, they also pledged to work fully in favor of the priority areas of action of the International Organization of La Francophonie that are impacted by neglected tropical diseases, including access to education, equality between women and men, the development of children and young people, as well as prioritizing the fight against neglected tropical diseases in appropriate international forums[1,2,3].<br /> More than 210 million people in Francophone countries in sub-Saharan Africa are at risk of a neglected tropical disease. The intensification of the fight against neglected tropical diseases will help French-speaking countries to make progress in other areas of development, such as access to education and gender equality. Indeed, reaching those affected by neglected tropical diseases will lead to overcoming barriers to access the poorest and most marginalized communities, contributing to the effective achievement of sustainable development goals (SDG) and universal coverage of health care [3].
References:<br /> 1. Press team. Message of October 16, 2018. Ministry of Health. Democratic Republic of the Congo.<br /> 2. https://www.jeuneafrique.co...<br /> 3. http://www.ntd-ngonetwork.o...
On 2019-01-17 12:48:50, user Michael Hiller wrote:
Great to see more well assembled lizard genomes, but it would have been nice to cite the more recent assemblies of Salvator and Lacerta (even if the N50 metrics of both are assemblies better)
On 2019-01-17 12:26:21, user scholpp_lab wrote:
Cytoneme contact points function like synapses? Wow this is big!
On 2019-01-17 09:31:27, user rbrto wrote:
Hello! Is it possible to access the supplementary material referenced in the manuscript? Thank you!
On 2019-01-17 01:14:50, user Jeremy Jewell wrote:
Cool paper! Does the mutant have altered pathogen susceptibility?
On 2019-01-16 21:35:17, user Keith Robison wrote:
It is unclear how the heterogeneity spacers are constructed; are they purely random at each position or are the sequences designed to avoid long homopolymers? Do you have any way to estimate duplicates (optical, or if run on NovaSeq/HiSeqX ExAmp duplicates)?
On 2018-12-06 21:57:02, user Devang Mehta wrote:
This preprint references Supplementary Tables that are not provided. I request the authors to upload a complete document.
On 2019-01-16 18:36:27, user Xuanting (William) Hao wrote:
Good job!
On 2019-01-16 14:25:12, user Gautier Richard wrote:
Any idea if SMAC-seq reads could be used for assembling genomes?
On 2019-01-16 06:54:53, user Evren gümüş wrote:
Case report of four siblings in southeast Turkey with a novel RAB3GAP2 splice site mutation: Warburg micro syndrome or Martsolf syndrome?
On 2019-01-16 04:09:28, user jeff ellis wrote:
"In addition, VIGS mediated knock down of CHUP1 reduces stromule
induction (8% chloroplasts with stromule(s), n = 68 images quantified) compared to
control silencing (2% chloroplasts with stromule(s), n = 68 images quantified),
suggesting that CHUP1 is required for pathogen induced stromule development (Fig.
3C)".<br /> Are these numbers back to front?
On 2019-01-12 01:13:47, user jeff ellis wrote:
“We report that chloroplasts navigate to the pathogen interface to counteract infection by the Irish potato famine pathogen Phytophthora infestans...”<br /> clearly with all this complex navigation the pathogen is hardly “counteracted” to any agriculturally significant effect or we would never have had the Irish Famine disaster
On 2019-01-15 08:36:05, user William wrote:
Please desist from calling this "personality" or implying this would be a tool to measure personality in mice - it is not and using those words is clickbait.
Of course the concepts of personality in psychology are numerous, complex and often poor; with many different definitions, dimension, and proposed measurement tools. But they are all constructed on the assumption that the reported dimensions can be reliably and validly measured with a respective tool.
In contrast, the method proposed here applies dimension-reduction tools to complex behavioral data (all components previously established). This results in "IDs" that are dependent/different for each given experiment (different behavioral setup, species, measured parameters, normalizations, ...). Thus, the method does not fulfill (or attempts to show) any of the commonly applied test quality-concepts like Reliability, Validity, Accuracy, Objective Testing ...
This may be a suitable tool for stating to analyze complex behavioral data but certainly has nothing to do with personality. Applying it to transcriptome analysis seems even less valid considering the many established special properties of such data that seem to have been ignored completely here.
Thank you.
On 2019-01-15 00:49:33, user Michael Alexanian wrote:
This is a beautiful piece of work. The concept of the information for developmental competence being primed before cell fate decision is extremely fascinating. This asymmetric epigenetic priming discussed by the authors is interesting and might indeed partially explain the phenomenon of ’default’ neuroectoderm differentiation of ESCs. On a bigger picture, this supports the idea that enhancers distal to developmental genes could play a fundamental role in governing developmental competence of uncommitted cells prior cell fate specification. With this in mind, the authors could discuss Alexanian et al, 2017 ("A transcribed enhancer dictates mesendoderm specification in pluripotency") that describes a pluripotency-specific enhancer distal to Eomes (Meteor) that controls meso- and endoderm specification.
On 2019-01-14 20:28:50, user Donald R. Forsdyke wrote:
ARE PREPRINTS "PUBLICATIONS"? A HISTORICAL PERSPECTIVE
This fine article draws attention to the excellent Rxivist web-site, but ends by mentioning "the crossover points between preprints and conventional publishing." This might have been better phrased “the crossover points between preprint publishing and conventional publishing.” However, the publishers through their Scholarly Kitchen website have tried to make the case that preprints are not publications. The authors tend to follow this line in making a distinction between “posting” and “publishing.” For example, they refer to “the publication rates of preprints posted in each month.” Thus, preprints are “posted” and papers that have been formally reviewed are “published.”
The article also mentions Matthew Cobb’s 2017 paper on the prehistory of biology preprints, a prehistory that dates back to the 1960s and featured “Information Exchange Groups” (IEGs; organized by the US NIH). Having participated in the latter (failed) experiment, I added a comment to Cobb’s piece: "At the time I regarded the demise of the IEGs positively, since it levelled the playing-field for those who were not on the circulation lists." Present preprint systems, such as biorxiv and arXiv, do not have such clubby groups. They are open to the world. They make their offerings “public,” which precisely defines the sematic root of the word “published.”
The distinction is not trivial. The article notes a 2016 analysis of published preprints which found that "the vast majority of final published papers are largely indistinguishable from their pre-print versions." In short, the claimed “value added” by the formal peer-review process may in many cases be marginal. This is gaining recognition by many journal editors who now permit the citation of preprints in reference lists. Hence, preprints are now finding a way to getting recognition in the Science Citation Index. For authors who are pressed for time (and how many are not these days), this offers an option of just posting on a preprint server and then moving on to writing their next paper.
We are now experiencing the emergence of three stages in the validation process for scientific papers, the second one of which seems to be getting squeezed. First, there are preprints where there is the opportunity for voluntary informal review by self-selected peers, with feedback often given directly by emailing the author. Second, there is formal review by editorially-selected peers. Finally, there is self-selected post-publication review that may follow either preprint publication or formal journal publication.
Those engaged In these reviewing processes are confronted with papers containing lists of references, some of which they are not familiar with. Until recently, for biological papers one could look up corresponding abstracts in PubMed and, if desired, directly follow links both to the original paper and to post-publication peer-reviews (the PubMed Commons facility). In this circumstance the importance of the second stage – formal peer-review – appeared to diminish.
Sadly, just as the PubMed Commons facility was getting into its stride, it was abandoned by the NIH and links to some 7000 post-publication reviews were severed. A strength of the PubMed Commons facility was that its reviewers were not entirely self-selected. To be accepted as a reviewer one had to have published oneself. This differs from surviving post-publication review facilities (e.g. PubPeer) where there remains a free-for-all self-selection that seems largely unpoliced.
On 2019-01-13 12:38:21, user Tim Fenton wrote:
Exciting development @HarrisLabUMN - not an easy task to get a specific antibody for A3B, to say the least and will be a valuable tool!
On 2019-01-12 18:58:57, user Peter Rogan wrote:
This article has now been published: <br /> Mucaki et al. Signal Transduction and Targeted Therapy (2019) 4:1; https://doi.org/10.1038/s41...
On 2019-01-12 14:25:26, user Steven Ge wrote:
Published by BMC Bioinformatics<br /> https://bmcbioinformatics.b...
On 2019-01-12 11:38:43, user Kevin Bermeister wrote:
Interestingly, "the number of gene mutations yielding predicted HLA-binding peptides showed no significant difference between" mutated and non-mutated Tp53. Did you test whether the each specified predicted peptide was more or less influential for both groups in cytokine, infiltration suppression, infiltration etc.? The data could be helpful for our next set of experiments... https://www.biorxiv.org/con...
On 2019-01-12 04:01:38, user Aanchal Mongia wrote:
This work has been accepted by "Frontiers in Genetics". Once it is published, the preprint on bioRxiv will link to the published paper.
On 2019-01-11 20:46:35, user Tony Huang wrote:
Happy to share with everyone our new story on neuronal DNA damage response and how it regulates AKT-mTorc1 signaling and HSV-1 latency in primary neurons
On 2019-01-11 13:00:00, user David Howard wrote:
Please note the supplementary figures and tables that accompany this version of the manuscript are the same as the previous version and they can be accessed here: https://www.biorxiv.org/con...
On 2019-01-11 12:22:29, user Igor Ulitsky wrote:
A very cool idea, As correctly pointed out by Ziv Shulman, https://twitter.com/ZivShul... , in chicken the males are ZZ (and females ZW), so appears that it will challenging to apply this to the poultry industry
On 2019-01-11 11:25:56, user VSP wrote:
Where is Figure 5?
On 2019-01-11 09:26:14, user Антон Чугунов wrote:
In an introduction of your paper, you might have overlooked our paper on TRPV1 channel, where we discuss the related things, also based on structural modeling and analysis of molecular hydrophobicity: https://www.nature.com/arti...
On 2019-01-11 08:21:26, user Kisun Pokharel wrote:
Published https://www.frontiersin.org...
On 2019-01-11 01:18:26, user Jun Xia wrote:
this paper has been published in Cell<br /> https://doi.org/10.1016/j.c...
On 2019-01-10 19:08:23, user Guillaume Charron wrote:
in the sentence beginning line 639:
It is also possible that SpC* originated as a hybrid species that has since then undergone further introgression only with SpB.
did you mean SpC instead of SpB?
On 2019-01-10 18:18:27, user Jakob Trendel wrote:
A peer-reviewed version of this manuscript is now published in Cell under https://doi.org/10.1016/j.c....
On 2019-01-10 18:17:17, user Jakob Trendel wrote:
Note that the labeling of the agarose gel in Figure 1B is incorrect.
On 2019-01-10 11:58:24, user Matthias Meurer wrote:
Finally the pMaCTag plasmids are available at Addgene!<br /> See https://www.addgene.org/Mic...
On 2018-12-10 17:29:30, user Christopher Ryan Douglas wrote:
The research goal of the manuscript: ‘CRISPR/Cas12a-assisted PCR tagging of mammalian genes’, is to demonstrate the efficiency of a CRISPR/Cas12a endonuclease system using PCR cassettes and endogenous homologous recombination mechanisms for readily tagging genes in mammalian cell lines. Previous methods often use extensive cloning techniques that are expensive and/or laborious, while the pursued method incorporates pre-designed plasmids with tags that can then be used with unique M1 and M2 oligos for easy PCR cassette development and CRISPR/Cas12a, gene-specific tag integration. In the paper they hypothesize that (1) successful, on-target integration is equivalent to current models in yeast using the CRISPR/Cas9 system, (2) is dependent on homology dependent repair mechanisms, (3) that efficiency can be further improved through the use of different modifications, including: removing the ATG start codon of the fluorescent tag (i.e. mNeonGreen), increasing the length of the homology arms, adding bulky protein modifications at the 5’ end of M1 and M2 oligos; and (4) the tested system can obtain human genomic coverage of 98.1% by including different species-specific CRISPR/Cas12a variants. They used tag-specific immunofluorescence localization and Anchor-Seq to assess on-target integration success; and they utilized PCR and PAGE to create and purify the PCR cassettes used for integration. <br /> (1) The findings state that for the tested genes there was an observed 0.2-13 % with correct tag-specific localization as imaged using the tag fluorescence. This could be further increased up to 60% using previously established antibiotic selection with Zeocin (Puromycin also tested). The authors used a restriction digest approach utilizing DpnI or FspEI to target and eliminate Dam methylated plasmids, which is assumed to be those plasmids existing prior to amplification. It would be useful if they provided some reference demonstrating that the non-methylated site isn’t targeted. If it was targeted to some extent, this could result in significantly more fragments of the selection marker plasmid being present. It is possible that these could ligate together and form plasmids that could confer resistance without the target gene sequence being present. Further information clarifying the purification procedure of these samples would eliminate this concern. <br /> Another criticism is that it is never directly stated how it compares to the current CRISPR/Cas9 system used in yeast. What are the comparable efficiencies both compared to the CRISPR/Cas9 system in yeast and mammalian systems? The use of resistance tags helps with amplification and population percentages expressing correctly is relatively high, but if the paper could provide some more context for comparing the relative efficiency of the system compared to other approaches in yeast and mammalian systems, it would elevate the impact of the paper.<br /> (2) The role of HDR is demonstrated by first removing the homology arms of the M1 and M2 oligos and then altering them to include 5’ overhangs compatible with CRISPR/Cas12a integration. Only residual amounts of non-homologous end-joining (NHEJ) or other DNA repair mechanisms were observed, indicating the importance of HDR. It was also observed that the homology arms would work for 30nt and optimally greater than 60nt.<br /> By removing the ATG start codon for the mNeonGreen protein, the diffuse non-specific cytoplasmic fluorescence could be reduced significantly. The residual amount of expression observed is explained as coming from start codons in the homology arms or the crRNA within the open reading frame of the mNeonGreen. It could also be possible that the system is promiscuous and targeting multiple dependent sites dependent on the crRNA, which has been reported to a limited extent for certain targets in the CRISPR/Cas9a system1. Despite abounding evidence of the kinetic specificity of the alternative CRISPR/Cas12a system employed here, there may be residual off-target effects that persist for specific sequences2. While not relevant for creating new cell lines using this system, it may be worth discussion for future work and in more complex systems, such as, in vivo.<br /> (3) With further modifications of the nucleotides using phosphorothioate bonds and biotinylating 5’ ends of the M1/M2 oligos, they assessed the efficiency of tagging of several genes, including: CLTC, and DDX21. They observed a 2-3x fold increase in efficiency and a decrease of observed diffuse cytoplasmic, non-specific fluorescence. Based on the data presented in Figure 3C, it appears that the phosphorothioate bonds were far more important for both increasing the on-target integration efficiency and reducing the non-specific diffuse, cytoplasmic fluorescence. While omitted, it may be worth including data for the phosphorothioate bond (i.e. 10S) and Biotin combination, as it might have provided some idea about the limitation of such modifications to increase the efficiency of the system. <br /> (4) In most tagging systems, C-terminal tagging is used and the CRISPR/Cas12a system needs to cut a protospacer associated motif (PAM) within a potentially short 17nt sequence on either side of the gene stop codon in humans. Given that the authors used a Lachnospiraceae bacterium ND2006 (i.e. TTTV) for all previous experiments, they confirmed that it could only obtain 43.2% genomic coverage. When adding the genomic coverage of AsCas12a_TATV and the AsCas12a_TYCV/LbCas12a_TYCV combination, only 71.6% was collectively covered. Upon using an extended search space in the 3’-UTR region, 98.1% coverage was observed. To compensate for this extended search, the authors noted the need to adjust the M2 oligo so that a small deletion occurs at the cleavage site to prevent additional cleavage events at the site by the CRISPR/Cas12a. For future studies, it would be worth considering the relative efficiency and specificity of these different species-specific CRISPR/Cas12a variants to create a rule for differing to one of the variants in the case overlapping genomic coverage by two or more. Another criticism would be that the expanded search into the 3’-UTR does not necessarily account for the possibility of disrupting post-transcriptional regulatory units within the region. This could provide the need for additional variants that provide more collective coverage using the limited search space provided by the PAM.<br /> Overall, the paper carries significant impact and capably demonstrates the applicably of this PCR-based CRISPR/Cas12a system to mammalian systems, in vitro. Despite some small, potential issues with the specificity of the observed efficiency, the only major area of concern would be the possibility that the expansive genomic coverage obtained by including sites in the 3’-UTR could in practice compromise key post-transcriptional regulatory units in this region. This can be easily avoided through additional experiments demonstrating the lack of an effect on overall expression with the use of some or all observed PAM sites, and/or using additional Cas12a variants to obtain more genomic coverage without using the 3’-UTR regions.
References<br /> 1. Henriette O’Geen, Abigail S Yu, David J Segal. ‘How specific is CRISPR/Cas9 really?’. Current Opinion in Chemical Biology, Volume 29, 2015, Pages 72-78, ISSN 1367-5931, https://doi.org/10.1016/j.c....<br /> 2. Isabel Strohkendl, Fatema A. Saifuddin, James R. Rybarski, Ilya J. Finkelstein, Rick Russell. ‘Kinetic Basis for DNA Target Specificity of CRISPR-Cas12a’. Molecular Cell, Volume 71, Issue 5, 2018, Pages 816-824.e3, ISSN 1097-2765. https://doi.org/10.1016/j.m....
On 2019-01-10 07:59:57, user Alexandru Costache wrote:
Sooo all the media claims that eastern cougar is extinct but actually eastern cougar is the same with the normal north american cougar, which numbers are increasing, so actually is just one big subspecies that is extinct just from that eastern area but it will eventually repopulate it? :)))
On 2019-01-09 08:34:39, user ppgardne wrote:
Now published at:<br /> https://doi.org/10.7717/pee...
On 2019-01-08 23:01:22, user Andres Diaz Delgadillo wrote:
Fascinating idea that ATP play indirect/direct role upon LPS regulation. Yet, I have a comment from the results of this paper. Wouldn't simple puncturing of the embryo dissolve P granules due to entropic influence of dilution? How would you control for this phenomena to clarify the results?
On 2019-01-08 19:38:54, user Alfonso Araya wrote:
A really good work because this try to answer one of the currents problems where there are no standardized measures of data for validation and assessment of the quality of the integration methods. I would recomend to include in some future work the use of non negative matrix factorization, because it does not require any data transformation, or any special matrix construction, but instead, it integrates networks naturally represented by adjacency matrices. This will prevent the loss of data in comparasion with other methods. also it has great accuracy, even superior over Kernel-Based methods.
On 2019-01-08 19:38:13, user Chase Mayers wrote:
Great paper, and very interesting find! Just one small suggestion [the benefit of a preprint, right? :)]. Line ~56, which states that the cultivars of Xyleborus and Xyleborinus are mainly Ambrosiella and Raffaelea, and cites the 1996 Cassar and Blackwell paper. Since the 2010 taxonomic revision of Ambrosiella/Raffaelea by Harrington et al. (Mycotaxon 111: 337-361) this is no longer true, as all of the former 'Ambrosiella' in the Ophiostomatales were transferred to Raffaelea. The line should more accurately read "...are mostly in the Ascomycete genus Raffaelea (Ophiostomataceae: Ophiostomatales)..." and omit mention of Ambrosiella. No Xyleborus or Xyleborinus are currently known to associate with Ambrosiella. See the 2015 Mayers et al. Fungal Biology paper, which you already cite, and Lin et al. 2015 (Mycoscience, 58: 242-252) for all currently-known associates of Ambrosiella. A minor note, but important to avoid the historical confusion of these two fungal genera. Cheers!
On 2019-01-08 11:17:05, user Daniel J. Wilson wrote:
This paper has now been published online ahead of print in Proceedings of the National Academy of Sciences U.S.A. https://www.pnas.org/conten.... Changes relative to the last preprint include reorganization of the main text and supplement and correction of the parameterization of the Landau distribution. Since publication I discovered the following forerunner that proposed to use the harmonic mean p-value as a 'rule-of-thumb' for model-averaging, although it did not describe the multilevel test properties nor derive an asymptotically exact test: I. J. Good (1958) Significance tests in parallel and in series. Journal of the American Statistical Association 53: 799-813 (https://www.jstor.org/stabl.... Good's presentation was tentative, saying "this rule of thumb should not be used if the statistician can think of anything better to do" - I hope that my contribution shakes off these misgivings and provides confidence that the procedure is interpretable and well-motivated on theoretical grounds.
On 2019-01-08 01:43:14, user Denise Montell wrote:
A sensitive and specific reporter for RasGTP in vivo.
On 2019-01-07 20:59:24, user Jo Vandesompele wrote:
The C1 script is now published on Fluidigm's Script Hub https://www.fluidigm.com/c1...
On 2019-01-07 14:49:59, user Nicholas McGregor wrote:
Great paper. Really impressive to see such careful work being done to test the limits of CryoEM. I have a proofreading notes from my read through: Page 8 (methods) has "using using" at the top of the first column.
Cheers
On 2019-01-07 13:12:46, user Sid Tamm wrote:
The format of the PDF is somewhat inconvenient and red font should be black, but have patience!<br /> Sid Tamm
On 2019-01-07 12:53:50, user Alberto Gonzalez wrote:
Supplementary figure 5b and 5e for Italy1 and 2 seems confusing on what that white colour is saying, and how they should match Table S1 values:
Italy2 is meant to be 0 at the Basque Country and it's white there, Navarra, Rioja etc. So you assume when you see that that white means 0.
However when you look at Portugal on Italy1 map is white but in table S1 Portugal-Andalucia cluster shows the highest score on Italy1, Portugal-Galicia is also highish, higher than Aragon-Cataluña.
Is that white meaning máximum on Italy1 and minimum for Italy2?
On 2019-01-06 17:45:34, user Bruce Aronow wrote:
this is really nice work! agree that specialized RAC1-to-actin coupling to modify cell projection behavior is incredibly important for different cell types to optimize. looking at a couple of single cell datasets that I'm analyzing.. 49a is hot for neutrophils, 49b is pan-myeloid
On 2019-01-04 11:10:40, user Honggang Huang wrote:
Comments appreciated! and can someone suggest a journal I should submit to? Thanks in advance!
On 2019-01-03 22:42:35, user Bjarni Halldórsson wrote:
The paper claims "This dataset contains ~7-fold more individuals than the largest prior WGS-based study of SV". In 2017 we published SVs discovered in WGS data of 15219 individuals (1.2-1.8 fold less than in this study). https://www.nature.com/arti...
On 2019-01-03 19:54:09, user Rui Li wrote:
How can we download the supplementary files?
On 2019-01-03 17:38:40, user Rustem Ismagilov wrote:
This article has been accepted to eLife; DOI: 10.7554/eLife.40387
On 2019-01-02 16:37:30, user xbdr86 wrote:
The increasing interest of microRNA isoforms requires a systematic description, the unification under a mirGFF3 format will facilitate its research!!
On 2019-01-02 08:37:46, user naseeb singh wrote:
Excellent work done by the group. congrats and keep it up
On 2019-01-01 14:57:47, user Senthil wrote:
Now published in JBC<br /> http://www.jbc.org/content/...
On 2018-12-29 05:58:57, user Matthew Sloane wrote:
Love this paper. A late Christmas present; a must-read. Definitely raises some valid questions about the interdisciplinary connections between PMD and other targets. Highly recommend, as it is one of Weidenbacher’s greatest works to date.
On 2018-12-28 16:54:26, user Olga Sazonova wrote:
Dear authors, a friendly correction: you have misreferenced the work of Khera et al - they computed a polygenic risk score for Inflammatory Bowel Disease, not Irritable Bowel Syndrome. Happy holidays :)
On 2018-12-28 15:31:06, user leszek.kleczkowski wrote:
Impressive work! By the way did you find any effect of the loss of peroxisomal HPR1 on the activities of cytosolic HPR2 and GR1? (e.g. was there any compensatory increase?)This was something I wish we did when I worked on barley mutant (Plant Physiol. 94, 819-825, 1990).
Regards<br /> Leszek
On 2018-12-28 04:32:36, user Alessio Peracchi wrote:
In the text, the product of the C. crispus CHC_T00009480001 gene is tentatively proposed to act as a dehydratase in the biosynthesis of certain mycosporine-like amino acids (MAAs). Although the gene product is almost certainly a pyridoxal phosphate (PLP-) dependent enzyme, most similar to functionally validated serine dehydratases, the proposed substrates in MAAs biosynthesis would be serine/threonine derivatives blocked at the amino group (Figure 8). Such compounds cannot be transformed by PLP-dependent enzymes, which require substrates with a primary amino group in order to interact with their cofactor. Hence, participation of CHC_T00009480001 in the proposed dehydration reactions, outlined in Fig. 8, is mechanistically untenable.
Alessio Peracchi<br /> Associate Professor of Biochemistry<br /> Department of Chemistry, Life Sciences and Environmental Sustainability<br /> University of Parma<br /> 43124 Parma, Italy<br /> ORCID: http://orcid.org/0000-0003-...
On 2018-12-27 19:29:09, user John Didion wrote:
"However, RAUR is not publicly available and hence could not be considered for Genesis-indel pipeline."
Dear authors, I have just learned of this fabulous new tool, "Google," for finding things on the internet.
On 2018-12-27 14:39:13, user Clement Kent wrote:
The authors present an interesting investigation of biased GC in primate genomes. However, their selection model is purely additive, while the results of Glémin 2010 and subsequent papers show that some W->S mutations are equivalent in effects to an overdominant S allele which is favored in heterozygous (W,S) individuals but disfavored in homozygous (S,S) individuals. Glémin solved the stochastic equations for this case and showed that an excess of polymorphisms and a deficit of fixations could result. Suggest authors read this: Glemin S. Surprising fitness consequences of GC-biased gene conversion: I. Mutation load and inbreeding depression. Genetics. 2010;185(3):939-59.
On 2018-12-27 12:55:18, user Chris Mungall wrote:
Interesting paper, did you consider comparing the mined disease-phenotype associations from Groza et al 10.1016/j.ajhg.2015.05.020; and also the disease-taxon links in http://obofoundry.org/ontol...
On 2018-12-27 06:10:23, user Roland wrote:
This is the revised version.
On 2018-12-26 16:59:24, user Carmen Hernandez Fort wrote:
Nice work with the use of an image-based phenotyping system. Nevertheless, I would like to make a remark about what it is stated in lines 419-420: "the capacity to physically interact with AGO protein was considered to be critical for the VSR functions of TCV CPs (P38)". This conclusion was raised using a TCV mutant whose VSR had lost the ability to bind dsRNAs (as demonstrated later by Perez-Cañamas & Hernandez, 2015 and, following this, conceded by the authors themselves in Iki et al., 2017), besides the ability to interact with AGO protein, and thus it is not clear at all that interaction with AGO is critical for p38 function. Just a small comment to clarify this point.
On 2018-12-24 12:19:14, user Helga Vierich wrote:
Fine. So now we have support for an earlier date when a couple thousand folks unwittingly fund themselves “out of Africa”. Fits the dates for everything much better. Mt-Eve is then a proxy term for a population that expanded across into the Middle East, as well as a more southerly sub-deme of the same cultural group whose range extended into southern Arabia and onward along the coastal route. Do these authors somehow think it isn either-or issue? Peopling the world is not a contest between a central Eurasian and a southern coastal route.
But come on folks!!! imagining that it was some “early” (by implication archaic) Homo sapiens who “left” and “fully modern” Homo sapiens who returned is sheer nonsense. It is implying that those people in sub-Saharan Africa with L0, L1, and L2 lineages are somehow more primitive. I have spent years among Kalahari hunter-gatherers, and considering them in any way representative of an archaic or primitive humanity is beyond stupid.
Furthermore, the language of this paper is highly speculative and frequently disparaging of the African: how else to read “It seems better to be the result of a joint and global replacement of the old autochthonous male and female African lineages by the new Eurasian incomers”?
Then, instead of a “replacement” of the “old” by the “new Eurasian incomers” what you have is the continuous presence, since 70,000, of a population in NE Africa and SW Asia that has a high frequency of L3 mitochondria and African Y chromosome haplogroup E. Is it that unlikely that these were spread to other parts of Africa much later than 70,000 - along with the spread of domesticated livestock, for example? I would even suggest that it is not impossible for the earliest Homo sapiens in the Middle East already had some frequency of these mutations. Let me suggest to you that nobody migrated anywhere. What you have evidence for is GENE FLOW, not your imaginary bunch of superior Eurasians killing off the Africans and taking over Africa north of the Sahara.
All you need to know about OOA is that it wasn’t many people, it probably started even earlier than 125,000 years ago, and all subsequent spread was by simple population growth. An average rate for hunter-gathers is about .05% a year, giving a doubling time of 1400 years. Starting with only a thousand people (40 camping parties) in what is now Israel, and another thousand in southern Arabia along that coast. these two thousand people would grow to over a million within about 12,000 years. In that time they could occupy most of Eurasia and be eyeing a crossing to Australia. D the math. It is a simple exponential function.
On 2018-12-24 12:08:38, user Jesus Requena wrote:
Here is full atomistic model of PrPSc that in our opinion complies with all the available experimental constraints. In agreement with recent cryoEM results, it is a 4-rung beta solenoid. In this respect it is similar to the previous model by Govaerts et al., the state of the art until now, but it does not have any Cterminal alpha helices, in agreement with recent reinterpretation of FTIR spectra. Furthermore, our model is physically stable, which the previous one wasn't...We also present a model of PrPSc conversion derived from the model, that solves the issue of how PrPSc proons propagate. A movie can be seen in the supplementary material. We are about to submit this for publication. Comments and suggestions are wellcome.
On 2018-12-23 15:33:35, user Markku Varjosalo wrote:
Out in Aging Cell<br /> https://onlinelibrary.wiley...
On 2018-12-22 17:39:08, user Ferrel Christensen wrote:
"We assigned gender"--arbitrarily, regardless of the author's actual gender? How could this throw light on the question of whether quality of content rather than some sort of bias affects acceptance for publication? (And only one double-blind journal was included in the test?) The brief description above raises serious questions.
On 2018-12-17 09:45:21, user Jon Tennant wrote:
This looks really nice at a first glance, congrats to the authors. Small, population studies like this are generally welcomed into a field that has generally little, but often conflicting, evidence around it: http://eurodoc.net/sites/de... (see The Dark Side of Peer Review)
On 2018-12-22 05:43:21, user Wei Zhao wrote:
Our work about how regulatory circuits establish, maintain, and remodel #cell polarity in Caulobacter. So excited!
On 2018-12-20 21:42:04, user rooeikim wrote:
new genome-wide crispr screen data
On 2018-12-19 23:23:30, user whiskyxy wrote:
Nice finding! I guess that may happen in many other draft genomes
On 2018-12-19 15:20:27, user xtmgah wrote:
Very interesting paper. Thanks. Can you upload the supplemental Table and Figures?
On 2018-12-19 09:25:59, user sjones54 wrote:
Dietary studies that move beyond correlative factors and address, in an experimental fashion, transgenerational effects are of critical importance and I commend the authors for their undertaking. However, I have some reservations regarding this study. One of which is that, to my knowledge, 'lifetime reproductive fitness' cannot be accurately determined in Drosophila melanogaster via the methods described. Given the highly stochastic nature of a 'fly lifetime', alternative methods are appropriate to avoid generation of what amounts to random noise. An examination of the authors’ data (specifically the bimodal distribution) appears to confer with this point. Perhaps the removal of the low points (0-10 offspring), indicative of vial collapse, could help, post hoc, to obtain a more accurate assessment. Moreover, I am uncertain of any work in D. melanogaster that demonstrates a clear link between body weight and fitness. As it stands I remain skeptical this paper represents a concrete contribution to the on going dietary dialogue.
On a related note it is of concern that the phrase “To make sure that female reproduction was not limited by male quality, a new male was transferred into each vial every second week, or immediately if escaped during handling or found dead.” was borrowed, albeit modified with respect to the timing, from work by Pekkala et al 2011 without reference to this work. As the protocol also appears to have been taken from this work (although used there for Drosophila littoralis), convention dictates referencing would be appropriate.
On 2018-12-19 09:03:08, user DanSonntag wrote:
Hi Ju Cruz,
First of all, thank you for your interest in the manuscript and your interesting questions.
Regarding your first question, I would suggest to provide a collaborative platform for the scientific community to<br /> update the Pathway Ontology (https://bioportal.bioontolo.... If all existing databases update their pathway names with the correspoding ones or fill out the gaps in this ontology, no mappings would be necessary since they would all comply to the same semantics (this ontology/terminology). Although this requires extensive manual work, string matching approaches and similarity measurements such as the one presented in our previous work (ComPath) can speed up this process.
Finally, in relation to your second question, that is an interesting thought that we have considered and planning to conduct in our next publication. If you want to contribute feel free to contact me!
Regards
Daniel
On 2018-12-14 15:56:09, user Ju Cruz wrote:
The creation of a Python package that unifies pathway knowledge from three major pathway databases into a single abstraction, implementing BEL to harmonize the data from KEGG, Reactome and WikiPathways into a common schema, and in addition provide the final user with a visual representation of the available information in the three main databases with respect to a particular pathway of interest is very powerful.
However, I have a pair of curiosities regarding the manual work and general performance of the method implemented.
First question: What do you propose to tackle manual evaluation effort that needs to be done in order to check the possible mappings for each database.<br /> Is there any querying automation tool that you are planning to implement in the near future to collaborate with the data sanitation process?<br /> This information is found in the Supplementary information page 12, first paragraph.
Second question: Do you have an idea of the overall pathways similarity index and their cross-talk among the three databases besides the similarity measurements for the 21 equivalent pathways that were evaluated in the Case Scenario.<br /> I think that knowing this value can help the user to understand how high is the margin of error that can expect and tolerate while comparing information from the different three sources.<br /> I thank you all in advance for your attention to my comment and your answers.
On 2018-12-18 23:10:06, user Brendan O'Fallon wrote:
Can't help but notice the "Gold Standard" CNV set consists only of 13 CNVs, all deletions, the smallest of which spans 4 exons. The followup MLPA analysis confirmed only 55 of 64 detections, with 10 of 14 single exon CNVs being detected at first pass. (It's possible to select criteria that rule out some of the missed CNVs, thereby increasing sensitivity, but this seems a lot like training on validation data and it's not clear how well this generalizes to future samples.)
The analysis also compares Atlas-CNV to only one other caller (VisCap), so it's difficult to know how this compares to other callers built for the same task. The text mentions Convading and ExomeDepth a few times, but doesn't directly compare results.
On 2018-12-18 20:14:42, user Gavin Simpson wrote:
This preprint has now been published in Frontiers in Ecology and Evolution
On 2018-12-18 19:31:12, user Jason Stajich wrote:
This is useful discussion point manuscript. I am fully in support of systematic, standardize data in REST, FTP, and other accessible manners. FungiDB and Ensembl go a long way to supporting this.
Some suggestions to consider in future revisions of this manuscript.
It seems the authors are bringing up the problem in the non-overlapping of datasets is due mainly to unpublished JGI Mycocosm datasources are not also in GenBank? Since these genomes are not published and deposited but are still available for use they appear only in Mycocosm before publication. It would be useful to discuss the underlying reasons why these primary data are balkanized.
Some reasons for differences in names has to do with synonymy of species names due to perfect/imperfect (Histoplasma == Ajellomyces). The one fungus:one name approach https://doi.org/10.5598/ima... intended to solve that part. I am not sure if I seen any discussion on specifically why reason for naming differences. Names have also changed over the course of projects as taxonomy has improved so the sources of these differences are useful to mention as a call for standardization that seems to be unexplained as to the reasons. Or if you just refer to standardization on "genus species strain names", Underscore or space between culture collection name and ID and other issues when combining datasets from different sources.
Previous work has also looked at global genome content in fungi from these large scale projects might be useful to include citations. Here is a table of prefix and lineage generated from early freeze of data eg https://github.com/1KFG/gen... from combined resources.
I think also utility of data import into standardized databases requires processing and munging annotation from multiple sources with different 'flavors' - something FungiDB - http://fungidb.org has been doing as well as Ensembl. The remit and funding sources that support different database systems have limited the ability of one database to encompass all the different sequencing goals, eg medical mycology and plant pathology goals are not always funded in the same database project.
It would be useful to comment not only on genome assembly, standardizing names of sequence files, but also standardizing of annotation of protein coding gene regions as the naming of LOCIS that is part of deposition into GenBank is important but the JGI pre-published datasets do not refer to that stable locus ID until deposited. Another really simple difference in data resources some of the GTF/GFF versions and protein coding data download is whether stop codon is included in CDS feature or not. Some resources include it - some do not. Whether or not pseudogenes are called out separately could be important utility in developing protein databases for metagenomics searches too.
Finally - the article title suggests that not having all the data is a problem for metagenomic studies. While I agree for sure, empirical data would be useful - how is the inference impacted for analysis of a metagenome dataset when using only one datasource repository vs a union of these.
Just some ideas/thoughts in a quick read. The community of users and developers of these data definitely are aware of the problems and historical/structural reasons why these databases are not complete representations. It could be helpful to describe some of the different ways the data are generated and the flow of it into repositories. eg big systematic projects tied to the same groups producing the databases, public repositories taking depositions, and individual labs, and now fungal genome production can be sub-$50, a large-scale projects even from individual labs. What are impediments to getting these data in one place.
On 2018-12-18 02:31:55, user 김태건 wrote:
awesome!! :)
On 2018-12-18 02:31:41, user Park wrote:
The paper is very remarkable
On 2018-12-18 02:31:18, user Park wrote:
The paper is very remarkable!
On 2018-12-18 00:49:46, user Peter Rogan wrote:
This has been published in F1000Research: https://f1000research.com/a...
On 2018-12-15 03:21:58, user Peter Rogan wrote:
This preprint has been published in F1000Research:
On 2018-12-17 17:07:52, user Mariana Schuster wrote:
Thank you for posting this preprint. I am glad to see some experimental evidence around the conservation of effectors in “non-pathogenic” smut fungi. In particular I like the idea of encouraging people to study these species more in detail.
Here some thoughts and questions:
Given that “smuts” has many definitions. I would precise your definition in the introduction. I believe you are using here the term smut as synonym of: belonging to Ustilaginales?
If I understood it correctly, your hypothesis that Pseudozymas might be pathogenic is based on the fact that P. prolifica is conspecific with U. maydis. Another piece of data supporting this hypothesis, at least for some former Pseudozyma species, and that you might like to mention would be our comparison of the secretome of two Pseudozyma species to those of plant pathogenic smut fungi (https://www.sciencedirect.c... These data also suggest that not all former Pseudozyma species might still be pathogenic, something one could also discuss in the context of this manuscript.
Where do the 211 core PSEPs come from? I could not extract this number from Sharma et al, 2015.
Given that comparative genomics results highly depend on the quality of the genomes used, I would suggest to provide quality data on the genomes you are using or comment on this in the manuscript especially since you are working with some draft genomes (according to the cited publications). I would expect even more conservation when using high quality genomes.
Line 40. You mean “penetrating the host for colonization”?
On 2018-12-17 12:42:35, user Julien Fattebert wrote:
I think you should also look into:
Rosenblatt et al. 'Effects of a protection gradient on carnivore density and survival: an example with leopards in the Luangwa valley, Zambia' that seems relevant to your discussion of contrasting densties across the gradient of human distrubance from settlements to reserve cores;
and possibly Williams et al. 'Population dynamics and threats to an apex predator outside protected areas: implications for carnivore management';
and Ramesh et al. 'Low leopard populations in protected areas of Maputaland: a<br /> consequence of poaching, habitat condition, abundance of prey, and a <br /> top predator'
On 2018-12-17 03:17:41, user BenjaminSchwessinger wrote:
The manuscript by Cam et al. is entitled "Population genome <br /> sequencing of the scab fungal species Venturia inaequalis, Venturia <br /> pirina, Venturia aucupariae and Venturia asperata.". It describes the <br /> genome assembly of 18 fungal isolates causing scab on different plants. <br /> In total, the analysis of 87 fungal isolates is presented, were 86 are <br /> sequenced with Illumina short reads and one isolate with PacBio. Genome <br /> assembly sizes are compared with data obtained by flow cytometrey (FC) <br /> which is excellent to see. The authors observe that most genome sizes <br /> are smaller then expected by FC, which they attribute to the collapse of<br /> AT and repeat rich regions in the assembly. The authors perform gene <br /> and TE annotation on these genomes. In addition, they describe <br /> establishing FDR for SNP calling, which I struggled to follow.
Major comments:
I could not locate supplementary material.
It is disappointing that the raw data is not deposited with this project<br /> PRJNA407103. I am pretty sure that the journals policies require the deposition <br /> of raw data. This makes it very difficult for other researchers to <br /> replicate these experiments and to build on this work. This is <br /> especially noteworthy as the authors mention at several occasions <br /> something along the lines of "Our study provides valuable genomic <br /> resources for those interested in identification of molecular basis of <br /> Venturia species adaptation to their host and in mapping traits of <br /> interest (virulence, aggressiveness, resistance to fungicides etc…)" (l <br /> 459ff).
Abstract:
Introduction:
Seems adequate and good. I am not a Venturia expert though.
Methods:
These are excellent and very detailed. Pretty nice.
It would be nice to have some summary statistics of read length and <br /> coverage for the genome sequencing projects, especially for PacBio <br /> project.
it would be good to mention that the deposited illumina genomes were generated with SOAPdenovo v. 2 and not Velvet.
Results and Discussion:
l. 304ff. "Phylogenetic relationships among V. inaequalis strains from <br /> different populations cannot be accurately resolved, probably because of<br /> the existence of incomplete lineage sorting and gene flow between <br /> populations". This statement is not explained fully. Please explain how <br /> this conclusion was reached.
l. 317ff. "Genomic DNA library construction likely explains the <br /> variability in assembly size as certain protocols might have excluded <br /> long repetitive regions." . I don't understand this claim. How would <br /> genomic DNA library constructions exclude specific TEs? Are the author <br /> talking about assembler collapsing TEs as reads are not long enough to <br /> span these regions? If so the authors could test for this by comparing <br /> the sequencing depth (coverage) of TEs (or families thereof) with the <br /> coverage of single copy BUSCOs. If TEs were to be collapsed the authors <br /> would expect that certain TE families have significant higher coverage <br /> then others or BUSCOs. The authors could also look at unassembled or <br /> unmapped long reads and see if they find signatures of TEs in these <br /> reads.
l 320ff. How does the following happen? "In this case, library <br /> construction kits might have filtered the major part of AT-rich <br /> regions." This is unclear how this would happen biochemically.
The whole second part of the first paragraph of "Genome assemblies" will<br /> benefit from carefully rephrasing. It is known that Illumina only <br /> assemblies tend to collapse repeat regions. The authors might want to <br /> consider measuring LTR completeness in their genomes <br /> https://www.ncbi.nlm.nih.go...
l. 346ff: The authors should first introduce BUSCOS and why they are relevant to assessing genome completeness.
l.355f: "Evaluation of the divergence between all strains based on BUSCO<br /> genes identified.." . I am unclear about how this analysis was <br /> performed as this is not included in the method section. Is this based <br /> on multiple sequence alignments of the identified BUSCOs?
l.357f: How were SNPs identified? Mapping to the PacBio reference? Where<br /> SNPs identified by self-mapping (Illumina of EU-B04 on PacBio assembly)<br /> subtracted from the called SNPs from other isolates?
l.364f: "within AT-rich regions that are very rich in transposable elements". What does very rich mean in this case?
l.365ff:"This observation is most likely explained by the mapping at the<br /> same locus of highly similar reads from different genomic origins". <br /> This is unclear to me. Please explain.
l.373ff: Please explain the following statement better. I am having <br /> difficulties to follow. "The fact that GC-equilibrated regions still <br /> contain 3.4% to 11.3% of false positive SNPs is likely explained by the<br /> expansion of gene families in the genome of Venturia species." I am <br /> also not able to follow the next paragraph about FDRs in sexual <br /> organism. My understanding is that the clonal nature of some isolates is<br /> still an hypothesis and cannot by 100% confirmed. Please explain.
l.404f: "Detailed analysis of the V. inaequalis and V. pirina predicted <br /> secretome identified putative race-cultivar and host-species specific <br /> SSPs". The terms race and cultivar should be introduced beforehand. This<br /> will help the common read to understand these terms.
l.411f: I think the linkage between SSPs and other genomic features <br /> valids a proper analysis beyond a CIRCO plot. Bedtools and other tools <br /> allow measuring distance between genomic features. Difference in <br /> distance should be tested via the appropriate statistical tests.
l. 414ff: The section on transposal elements will benefit from some <br /> comparative analysis with TEs in other fungi? Are specific TE orders <br /> overrepsented in Venturia species? Is there anything out of the box?
l. 420f: Not sure I am following this argument (see comments above as <br /> well). "Consistent with the exclusion of repeat content from CAM and CAP<br /> populations DNA libraries." Please explain.
Conceptually, I find a bit difficult to perform this comparative TE <br /> analysis when stating that these assemblies are not fully <br /> assembled/contain all TEs in the first place. The authors might want to <br /> consider supporting some of the observations by read mapping of short <br /> reads of one strain to the other. TEs that are absent from one strain <br /> should obtain relatively little coverage.
Benjamin Schwessinger PhD.
ARC Future Fellow 2018
Division of Plant Science
Research School of Biology
College of Science
Linnaeus Building (134), Linnaeus Way
The Australian National University
Canberra ACT 0200 Australia
P: +61 2 6125 7794 (Office, 3.085)
benjamin.schwessinger@anu.edu.au
lab webpage, <br /> @schwessinger, <br /> blog, <br /> google scholar
Ambassador of protocols.io
Member of eLife's Early Career Advisory Group
CRICOS Provider # 00120C
============================================================
On 2018-12-16 16:42:36, user David Freedman wrote:
WHO PHEIC ended in November 2016
On 2018-12-16 12:49:12, user Trevor Turton wrote:
Many thanks for posting these results. They are truly life-changing for T2 diabetics, offering hope in place of progressive disintegration.
On 2018-12-16 06:56:55, user Riley Whodat Venable wrote:
Excellent work. Will you be presenting your work? Will you submit for peer review?
On 2018-12-14 18:33:41, user Joshua Harrison wrote:
Cool paper and interesting findings! Another relevant citation for interested readers:
Whitaker, M. R., Salzman, S., Sanders,<br /> J., Kaltenpoth, M., & Pierce, N. E. (2016). Microbial communities <br /> of lycaenid butterflies do not correlate with larval diet. Frontiers in microbiology, 7, 1920.
On 2018-12-14 17:27:14, user joebabbs wrote:
From Line 316 in the paper: "No adjustment for multiple comparisons was carried out."<br /> Isn't some kind of correction required for 850K CpGs assayed?
On 2018-12-14 13:42:36, user ofoxofox wrote:
A final published version of this paper has just been published with Toxicon journal : https://doi.org/10.1016/j.t...
On 2018-12-14 13:28:47, user David Curtis wrote:
Especially interesting to see NRXN3 and KMT2C in list of genes with recurrent de novo protein truncating variants in schizophrenia. Both very similar to genes previously implicated (NRXN1 and SETD1A).
On 2018-12-14 04:16:23, user Davidski wrote:
Hello authors,
I see that you're still using the ethnic Poles from Estonia in your analyses.
Please refrain from doing so, because many of these samples are not representative of the Polish population, in large part because they have significant ancestry from Siberia. Surely it would be more useful to represent the Polish population with samples native to Poland that lack this type of unusual ancestry?
If you do insist on using these unrepresentative Polish samples, then please label them correctly, such as Polish_Estonia.
On 2018-12-14 00:13:48, user Thiago Gumiere wrote:
Hi,<br /> The Supplementary material can also be obtained by:<br /> https://figshare.com/s/d788...<br /> Best,
--Thiago
On 2018-12-13 22:42:36, user Avtar Roopra wrote:
Hello World! The title should be:<br /> MAGIC: A tool for predicting transcription factor and cofactor binding in gene sets using ENCODE data.
On 2018-12-13 18:00:39, user Jon Moulton wrote:
I was too quick to assert that it is the loss of the knocked-down protein that causes the p53 response and likely the stress response as well. Didier Stainier has a recent preprint describing triggering genetic compensation by fragments from the nonsense-mediated decay pathway. It is possible that it is not the loss of a protein but instead is the product of RNA decay that acts as the trigger for the p53 or stress responses as well, though this preprint describes only the compensation response to RNA fragments. (El-Brolosy et al. Genetic compensation is triggered by mutant mRNA degradation. bioRxive. 2018. doi:10.1101/328153)
On 2018-12-03 19:55:25, user Jon Moulton wrote:
In the Lai et al. 2018 preprint from Didier Stainier's group, <br /> Morpholino knockdown of vegfaa showed no stress gene response. This <br /> demonstrates that the stress gene upgregulation seen with knockdown of <br /> egfl7 and some other transcripts is not a response to the Morpholino <br /> backbone but a response to the loss of the target's expression. The <br /> Robu et al. 2007 p53 paper showed that if Morpholino knockdown of a <br /> transcript caused a p53 response, knockdown of that target with a <br /> different oligo type (in their case a modified PNA) caused a similar p53<br /> response, again a response caused by the loss of particular proteins.
These studies reveal more about biological responses to a knockdown <br /> and the contrast of knockdowns and knockouts. Especially combined with <br /> observations of a mutant, the loss of target function in a wild-type <br /> organism (an uncompensated background) can reveal more information about<br /> the target protein's function and the cellular response to its loss.
As demonstrated by the stress response to the Standard Control oligo <br /> at elevated doses, keeping the dose of a Morpholino as low as <br /> practicable improves the oligo specificity, decreasing the probability <br /> of stress responses.
I work at Gene Tools, which manufactures Morpholinos.
On 2018-12-13 17:27:23, user Nick Bauer wrote:
The paper doesn't specify the concentration of MEA used.
On 2018-12-13 05:18:08, user Mangayarkarasi Periasamy wrote:
Great work, congratulations!
On 2018-12-13 04:43:21, user xbdr86 wrote:
Happy to have enjoyed this manuscript preview the week before in our RBL seminar series!! Thanks for bringing a fresh story!!
On 2018-12-13 00:24:45, user aquape wrote:
The early date of Au.prometheus (c 3.67 Ma) could suggest earlier australopiths in South-Africa might have had rel.longer legs that later members of the genus? IOW, instead of becoming more humanlike, the South-African australopiths seem to have become more bonobo- & chimp-like in this respect (the East-African australopiths probably evolved largely in parallel, see my Human Evoluiton papers). For a possible explanation of Little Foot's longer legs, google "bonobo wading" & "aquarboreal Verhaegen".
On 2018-12-13 00:15:58, user aquape wrote:
Fantastic find, thanks a lot. The rel.long legs, however, don't suggest a fully humanlike locomotion: very long legs are typically seen in wading-birds, e.g. ostriches have rel.shorter legs than herons or flamingoes, and they also have horizontal spines (bipedal mammals also run with horizontal spines), whereas wading-birds hold their spines often more upright.<br /> Little Foot seems to confirm the aquarboreal theory: (1) frequent bipedal wading in forest swamps, not unlike wading apes, such as lowland gorillas in search for aquatic herbaceous vegetation (AHV), google e.g. "gorilla bai" & "bonobo wading", but also (2) frequent vertical climbing in the branches above the swamps. See our 2002 paper in TREE (Verhaegen, Puech & Munro "Aquarboral Ancestors? Trends Ecol.Evol.17:212-217) or google "Ape and Human Evolution 2018 biology vs anthropocentrism".
On 2018-12-12 22:19:53, user Ken Field wrote:
Very interesting work. It would be helpful if you could share more complete supplemental data that included all of the genes in the regions that you found instead of just those that have been annotated. That would make it easier to compare the genomics results to the transcriptomics results to see if any of the genes that you have identified are differentially expressed. I have looked at the results that you provided in Supplementary Table 5 and two of those genes are differentially expressed in bat wing tissue infected with Pd: PCDH17 and REPS2. If you would like to look for yourself, you can use the interactive plots from our recent Mol Ecol paper: https://digitalcommons.buck...
On 2018-12-12 21:21:14, user Charles Warden wrote:
While I have currently only skimmed the paper, I noticed a typo (and formatting difference) in Figure 1A:
"Illumina Nextseq squencing" --> "Illumina NextSeq Sequencing"
Nevertheless, looks like interesting stuff!
On 2018-12-12 21:05:19, user Josh wrote:
Organ size is tightly regulated and in certain cases, organs can regenerate after being damaged (Penzo-Mendez and Stanger, 2015). In intact tissues, YAP activity is inhibited and the organ does not overgrow. However, in damaged organs, YAP is active and necessary for growth and regeneration to occur. This paper investigated the role of YAP in the simultaneous regulation of cell size and number. Their results suggest that YAP controls both cell size and cell proliferation through independent circuits, and that it affects each process non-cell autonomously via extracellular mediators. They also identified that CYR61, a known secreted YAP target, is the major regulator of the non-cell autonomous increase in cell number, but does not affect cell size. Changes in CYR61 levels may explain the mechanosensitive YAP-dependent changes in cell number. They conclude that non-cell autonomous effects on cell size are dependent on an unidentified acting mediator.
Overexpression of non-phosphorylatable YAP increases both cell number and size was shown in culture using HEK293 cells expressing nuclear GFP (nGFP), GFP-tagged WT YAP (YAPWT), or GFP-tagged phosphosite mutant YAP (YAP5SA), which cannot be phosphorylated. Since the methods used were not clear, it is difficult to know how accurate the data from some graphs are. In Figure 1A, the line does not show a clear plateau, yet it is described as eventually plateauing. It was not clear whether the bar graphs in Figure 1B was comparing fit vs non-fit or nGFP vs YAP5SA by looking at the figure or reading the caption. Their data suggests YAP5SA expression increases growth rate (k) and carrying capacity (Ymax) compared to expression of nGFP alone.
To understand the size increase in nGFP-expressing cell, they co-cultured YAP5SA or nGFP with WT cells and compared cell sizes. They found that the protein content between nGFP and WT cells were conserved. Figure 2 shows that YAP5SA increases cell size and carrying capacity of cells non-autonomously (typo in caption title). With a setup having both cell types share and exchange medium components without physical contact, they compared cell size. The data suggested YAP mediates non-autonomous changes in cell size and number
With RNA-Seq and mass spectrometry, they identified transcriptional targets of YAP. They found that a large fraction of proteins affected by YAP5SA overexpression are extracellular or membrane proteins. Next, they neutralized CTGF and CYR61 separately, but neither affected nuclear area, suggesting other factor(s) are responsible for non-autonomous effects of YAP on cell size. CYR61 was found to affect cell growth irrespective of YAP expression levels. They conclude that CYR61 causes an increase in number of cells in culture but claim has no measurable effect on cell size. However, the data shows a slight increase in nuclear area for the KD CYR61 sample. It is not known if the difference is statistically different. Lastly, they find that YAP affects substrate stiffness-dependent changes in population growth.
Overall, the experiments included valid controls to support their claims. Additionally, the quantification of their data was clear to understand and the extensive background in the introduction was well written. However, a cartoon of the pathway and overview of the paper would be helpful. A different cell line could have been used to test the GFP-tagged constructs to study the cell number and size changes. It would be interesting to see if their observation in HEK293s are also seen in another cell line. In Figure 5, they conclude that CYR61 depletion does not have a measurable effect of cell size. However, in Figure 5H, the KD CYR61 has a slight higher area with an n value of only 5. Increasing the n value may be helpful for a more accurate representation. While this paper had a large amount of quantification data, it would have been helpful to have some images. For example, did the cells stick to the 8 kPa collagen coated substrate? Some cell lines have a difficult time adhering to softer substrates and will have a more balled-up structure. It was not clear if the HEK293 cells had the morphology of a cell adhered to the substrates.
On 2018-12-12 21:01:26, user Michael Neel wrote:
Thanks for the really interesting paper! I recently reviewed this paper for a class assignment and decided to share my comments with you.
Paper Summary:<br /> This paper investigates mechanisms that help to establish centriole number in multi-ciliated cells (MCCs). The authors investigate this using an ex vivo airway culture model that produces mouse tracheal epithelial cells which are MCCs. They investigate whether the parental centrioles (PCs) are involved in regulation of centriole abundance. Using centrinone, the authors ablate PCs from their cell cultures and present data they claim shows PCs loss does not inhibit centriole amplification, deuterosome biogenesis, or affect amplification dynamics. The authors also presented data they claim shows that PIk4 levels do not affect centriole abundance, although it may delay amplification. Lastly, the authors investigated the relationship between cell surface area and centriole abundance. They present data that suggests centriole abundance correlates with cell surface area and that they were able to affect centriole abundance by manipulating cell size. Overall, the authors propose that cell surface area is a determining factor of cilia abundance in MCCs.<br /> Overall, I liked the authors experimental approach and the amount of quantification attempted. In particular, I like how they not only investigated PCs, but also PIk4 and surface area as possible regulators of centriole abundance. I also deeply appreciate their attempts to quantify many of their immunofluorescent images. However, the paper contains a number of issues predominantly including insufficient sample sizes, and graph choices which I address in more detail below.
Comments and suggestions <br /> 1. In many of the graphs (2b-g, 3b, 5c,d,f,g, SF3b) the authors present data that include error bars and statistical tests based on averages of 2 independent experiments. This means that most of the data have an n of 2. While an n of 2 is not technically insufficient for statistical testing, data with n=2 lack statistical power and presenting SEMs with n=2 can be misleading. I would advise the authors to perform addition independent experiments to increase their n and possibly a power analysis to determine a sufficient sample size. <br /> 2. For fig 2d-g, authors show bar graphs depicting percentages of cells with 0, 1, 2, 3, 4, >4 centrioles from cultures stained for markers of various centriole assembly stages. They claim these graphs show that loss of PCs did not affect the overall timing of centriole amplification stages, but the graphs shown do not appear to be appropriate for this type of analysis. I would suggest the authors instead include graphs quantifying the % of cells positive for the various markers in graphs similar to fig 2 b and c.<br /> 3. In their results section on page 6, authors say that deuterosomes are lost by ALI8 in control cells. However, fig 3a clearly shows some Deup1 immunostaining at ALI8 and fig 3b shows 20-30% of control cells are positive for Deup1 at ALI8. Authors should amend this statement.<br /> 4. On page 8, authors claim that manipulating PIk4 protein levels does not alter deuterosome number, which contradicts data in fig 5e that shows increased deuterosome number when PIk4 is knocked down. <br /> 5. Authors mention in results that the centrinone concentration used is roughly 3-8 times higher than needed in most cells, but do not provide their rationalization for using such a concentration. This can be addressed by including a sentence or two explaining why such a concentration was used<br /> 6. On page 7, authors state that fraction of MCCs at ALI12 show no overall difference between control and PIk4-depleted cells, but do not reference any data. Authors can address this by including a bar graph displaying this data.
On 2018-12-12 12:50:13, user Sebastian T wrote:
It's an interesting new class of K+ channels, and this structure provides some valuable additional information. A couple of points about the presented electrophysiology data. First, a minor point: the representative IV plot on the bottom left of Fig 1B shows a current of ~600pA at -100mV, yet the average current shown on the right is ~0.7 uA, which is three orders of magnitude higher, so I think in the right-hand plot you must have meant nA, not uA. Second, and more serious, there are issues with claims about the role of Thr38. I am concerned that the T38A whole-cell data shown in Fig 3C is actually a background artifact. The currents are quite low, and the recordings resemble leak currents which often occur upon inefficient whole-cell patch formation. I don't see convincing evidence that the presented currents are attributable to T38A. Control experiments showing impermeability to bulky cations like NMDG, plus demonstration of cation selectivity in NaCl or KCl gradients would strengthen your data for T38A. Furthermore, data is only presented for a single experiment, so it is troublesome if this is your best representative set of whole-cell recordings for T38A. Endogenous channels are also inhibited by zinc, so that data is also not convincing evidence. Your discussion relies heavily on interpreting the role of Thr38, so the experimental data should be more supportive
On 2018-12-12 05:24:27, user Alan Ly wrote:
Neuroblastomas have a high fatality rate due to a combination of relapse and acquired drug resistance. Previous research in the field points suggests that a key protein in the Wnt signaling pathway, LGR5, is associated with cancer development and intensity. In particular, many tumor cells exhibit an increased LGR5 expression after acquiring drug resistance. This paper aims to characterize expression of various Wnt signaling targets, including LGR5, in drug-resistant neuroblastoma cells.
I believe that this paper presents (and supports) a great idea that has potentially broad implications. Many papers have touched on the role of the Wnt signaling pathway, in particular on mutations in the APC gene and beta-catenin, in colorectal cancers. There has been some correlation between LGR5 and tumor aggressiveness, and this paper sheds some insight onto a couple of the characteristics tumor cells exhibit after developing drug resistance. With rising news and commentary in both media and the scientific community towards the dangers of drug-resistance in bacteria, it is pressing to understand more about different mechanisms through which drug resistance can develop.
I think a couple revisions would help to improve the message of this publication. I thought that the acquired drug resistance model is a great simulation of what may occur when cancer cells develop their own drug immunity. It’s a good model to start with, and I think<br /> it would solidify the message if you were to show a protocol in the form of an image and microscopy images of the drug-resistant cells in increasing drug concentrations. It would both strengthen your point in using these models and also present an EC50 with which you could work with.
Here are some minor issues I had with the paper:
At the bottom of page 4, there is a typo: “This, gaining, insight into…”
On page 4, in the results regarding Figure 4, I believe LGR5 should be pLRP6.
Even though it’s easily assumed, Figure 1 requires P values.
It would be helpful to reference the drug mechanisms in the introduction somewhere in case the reader does not have background knowledge in this field. This would explain the<br /> reasoning behind using 10ng of VCR and 20ng of DOX. Also, the use of two different drugs (that are amongst the most commonly used for cancer treatments) that treat cancer through different mechanisms provides strong evidence in support of your theory that acquired drug resistance may be linked to Wnt signaling. It not only widens the scope by which one can analyze drug resistance development, but is also highly relevant to clinical treatments.
Overall, this paper expressed some very intriguing points regarding acquired drug resistance and suggests that there may be a link between drug resistance and the Wnt signaling pathway. The research in this paper serves to supplement the clinical data regarding LGR5 and its potential role in developing drug resistance and, in a larger scope, may contribute to understanding how acquired drug resistance may occur and what steps we can take to prevent it.
On 2018-12-11 23:02:30, user Sebastian Aguiar Brunemeier wrote:
D+Q may not be the best way to clear SnCs, though. Better senolytics/morphics are needed. The Unity compounds can't be administered systemically due to toxicity, so hopefully someone comes out with a better senolytic soon.
On 2018-12-11 18:26:44, user Dietrich Jonathan wrote:
First: THANK YOU!! This type of work is really important! Also FYI in line 62-63, I've used this approach in both fungi and bacteria based on principle, but never validated it like this (can provide the full text if you want: https://www.nature.com/arti....
On 2018-12-11 17:59:41, user Emily Neubert wrote:
This paper focuses on proteins involved in initiating COPII-coated vesicle transport of collagen from the ER. Previously, the authors showed cTAGE5 recruits Sec12 to ER exit sites (ERES) for efficient Sar1 activation, and cTAGE5 interacts with Sec23. However, the cTAGE5 and Sec23 interaction had not been fully elucidated. This paper investigates the significance of this interaction in general COPII vesicle formation, and in more specifically, collagen export. Collagen export is a primary focus of this paper because given its large size, it is only recently becoming evident how COPII vesicles are able to accommodate such a large protein. The authors first proved cTAGE5 enhances Sec23’s GAP activity toward Sar1 by measuring Pi release when Sar1 and Sec23/24 are in the presence of cTAGE5. It is important to note that cTAGE5 without Sec23/Sec24 did not result in Pi release, suggesting cTAGE5 doesn’t act as a GAP alone, but enhances the GAP activity of Sec23. The authors then concluded the cTAGE5 and Sec23 interaction was necessary for collagen secretion by measuring ER collagen levels in cTAGE5 mutants with reduced Sec23-binding affinity. Overall, this paper was able to reveal cTAGE5 enhances the GAP activity of Sec23 towards Sar1, and this interaction is necessary for collagen export from the ER.
This paper logically organizes their experiments and provides straightforward reasoning, so the reader can easily follow the thought process of the authors. The conclusions made from experimental results are explained in terms that tie it back to the main scope of the paper: investigating cTAGE5 as a Sar1 regulator for collagen export. In addition, by using many different in vitro techniques, the authors were able to further support each conclusion with proficient results. However, I have some critiques regarding a conclusion made of their 4PA mutant, immunofluorescent experimental designs, and the organization of some figures.
The authors were able to identify two cTAGE5 mutants that lack Sec23 binding activity (RG and 4PA), both of which have mutations in the PRD domain. When analyzing the GAP activity of Sec23, it was only enhanced with the RG mutant. This suggests the positions mutated in the 4PA mutant are responsible for enhancing Sec23 GAP activity. However, the authors do not state this conclusion and focus instead how the GAP-enhancing activity and Sec23 binding can be separable within the PRD region. Although this is an accurate conclusion from these results, I believe this conclusion doesn’t add to the specific aims of the paper. The authors may not have focused on the 4PA mutated regions being responsible for enhancing GAP activity of Sec23 because there are four regions mutated and identifying which is responsible is outside the scope of the paper, although it would be an interesting future direction. The authors could perform similar binding assays to those in this paper to determine if the aforementioned region for Sec23 enhanced GAP activity is necessary and/or sufficient.
The immunofluorescence experiment investigating reduced cTAGE5 Sec23 binding and collagen VII secretion was not well designed nor efficiently presented in Figure 4. However, I did find how the authors tested the effect of RG and 4PA mutants on collagen secretion very easy to understand and well designed (the mutants were transfected into cells with a complete cTAGE5 knockdown to see if collagen secretion was rescued). The measurement of accumulated collagen VII was through immunofluorescence in arbitrary units, but the authors do not state if they normalized the number of cells transfected and those that were not per each experimental group before measuring the intensity of fluorescent signal. This would drastically affect the results made in Figure 4 as if more cells were transfected, for example, then there is a higher probability of increased fluorescent signal and thus an increase in collagen accumulation in the ER. Also, the authors did not address how they were able to differentiate the immunofluorescence from FLAG-tagged collagen and that from collagen’s autofluorescence (Croce & Bottiroli, 2014). Furthermore, statistical tests done on the data from Figure 4 were only comparing the non-transfected and transfected cells within each experimental group (i.e. WT, RG, 4PA), and were not comparing the collagen immunofluorescence of transfected cells to the control knockdown to see if the phenotype was rescued for each mutant. Since the overall conclusion made from this experiment was neither mutant was able to rescue the block of collagen by the cTAGE5 knockdown, the statistical tests should have been comparing if the levels of accumulated collagen of transfected cells were significantly different than the knockdown control. Finally, it is unclear if known ER and cytoplasm immunofluorescent antibodies were used to confirm the accumulated collagen was actually in the ER and collagen secreted was actually in the cytoplasm when measured.
Lastly, some of the figures in this paper could have been more appropriately presented to correlate to the conclusions made in the results section of the paper. Figure 1 should have had parts C and D combined in order to directly compare how the enhancement of Sec23 GAP activity between cTAGE5 and Sec13/31 differs. In the text, the authors conclude cTAGE5 “more efficiently” does this than Sec13/31, although since Figure 1C and D are separated, it is difficult to see how the difference between the two lines is significant to support this claim. If their definition of “more efficiently” isn’t statistically significant, then combining the two graphs is not required, although it would still be helpful to see how the two experimental groups compare side-by-side. Next, Figure 2B is a wonderful way to see protein interactions as yeast hybrid assays are very black and white, however a description of the assay and/or the reporter gene being used would have been helpful for someone unfamiliar with yeast two-hybrid assays. Looking at Figure S1C and D, there are many distinct bands seen on the gels attempting to resolve the proteins used in the GTPase hydrolysis assay that are not the target proteins being pulled down. The samples, therefore, are not very pure and yet were used for subsequent experiments. It may be the case the proteins were gel purified prior to use in the GTPase hydrolysis assay, but then the authors should have mentioned this in the methods.
On 2018-12-11 12:52:40, user piozaum wrote:
Great article! The git repository is quite complete and supplementary information is really good. I also see a great potential in annotating proteoforms obtained from experiments into reactome for a more analysis. I would only add that the performance chapter should contain some validation on the model of real data and analysis of the precision of the predictions.
On 2018-12-11 10:07:41, user ced wrote:
Sorry I am not in the field but I have a technical question. As a user of transgenesis services of Wellgenteics, would you recommend this company to generate CRIPSR flies?<br /> thanks a lot for your comment
On 2018-12-10 22:32:28, user jwilliams wrote:
The paper, by Tian, et al., seeks to address the issue of chemoresistance in hepatocellular carcinoma (HCC) treatment as it is a common solid-organ cancer that frequently develops chemotherapy resistance. Due to a lack of early symptoms in HCC, the disease is often caught too late for surgery, and therefore relies heavily on chemotherapy for treatment. The authors focus on RNA-binding protein Lin28B which promotes liver cancer through downregulation of anti-onco-miRNA expression. Their main objective is to assess the role that Lin28B plays in chemotherapy resistance, and explore how curcumin can be used in combination with chemotherapy agent paclitaxel to sensitize Lin28B overexpressing Hep3B cancer cells, and a Hep3B paclitaxel resistant cell line, to paclitaxel treatment. Their work does a great job of showing the direct impact of Lin28B on paclitaxel resistance, and how the usage of curcumin in combination with paclitaxel can be used to more effectively treat paclitaxel resistant Lin28B overexpressing HCC cells. This work adds valuable knowledge towards creating more effective cancer treatments, and especially treatment of cancer that has become resistant to chemotherapeutics.<br /> There are, however, a few concerns that I would like to share that may add to this paper. A minor critique addresses unclear interpretation of the results. Other critiques seek to understand how Lin28B, as an RNA binding protein, is mechanistically causing chemoresistance, and why they only look at paclitaxel, and its resistance, in HCC.<br /> The minor critique is aimed at addressing a confusing interpretation of Figure 5C. The figure interpretation in the results state that expression of apoptosis-related proteins was significantly reduced in tumors that underwent the combo treatment. This statement only addresses half of the result because they are looking at both apoptosis effector molecules like cleaved caspase 3, which increases, as well as anti-apoptotic protein BCL-2, which decreases. I would consider cleaved caspase 3 an apoptosis related protein, and since it increases, it directly conflicts their statement in the results. They should include more detail to specify that apoptosis effectors increase, and anti-apoptotic apoptosis proteins like BCL-2 are the proteins that are decreasing.<br /> A more broad critique is concerned with why the authors did not investigate the mechanism behind how Lin28B, as an RNA binding protein, is functionally involved in chemoresistance. In the discussion, they state that due to Lin28B overexpression inhibiting apoptosis in HCC cells, they suggest that Lin28B may be regulating apoptosis protein activity, but they never explored this experimentally or showed data. I believe that further experimentation to show the mechanism behind Lin28B mediated resistance to paclitaxel should be conducted, and could add impact value to the paper. Due to Lin28B’s involvement in blocking let-7 microRNA biogenesis, which derepresses let-7 target genes, the authors could start by exploring which pathways affected by let-7 targets would likely lead to chemoresistance. These could include pathways that lead to apoptosis resistance, increased production of proteins that would degrade or protect from drugs, or prevent the direct effects of paclitaxel. If they could show, for instance, that perhaps Lin28B is inhibiting microRNAs involved in regulating anti-apoptotic proteins like BCL-2, this could elucidate the direct mechanism of Lin28B on effecting chemoresistance. Investigating this mechanism would be a great addition to the understanding of how Lin28B, as well as other RNA-binding proteins, might be involved in chemoresistance. As this is a major focus of the paper, I feel that it would greatly enhance their narrative.<br /> A final point is about whether or not Lin28B mediated chemoresistance is specific to only paclitaxel. I believe that including an experiment using their Lin28B overexpressing Hep3B HCC cells to screen several other chemotherapy drugs would help to expand the impact of this work beyond a single drug. Additionally, the curcumin and drug sensitization experiment could be ran on any of the other drugs that are affected by Lin28B-mediated resistance to see if the treatment improvement seen with curcumin and drug combination also applies to other drugs affected by resistance.
On 2018-12-10 21:24:57, user Izra Abbaali wrote:
https://uploads.disquscdn.c...
The nucleus is housed in a double membrane nuclear envelope that separates the nucleoplasm from the cytoplasm. Nuclear pores allow for the movement of molecules, such as RNA and ribosomal proteins, across the nuclear envelope. Small molecules can pass through the pore via passive diffusion, while larger molecules require an energy-dependent mechanism in order to pass through the nuclear pore. Interestingly, another mechanism of transport to-and-from the nucleus has been detected. Upon infection with the Herpes simplex virus, the virus will hijack the cell’s machinery and use nuclear-envelope-derived vesicles to export material into the cytoplasm (Wild et al., 2009). This nuclear envelope budding event is also seen during the development of Drosophila melanogaster embryos (Speese et al., 2012). This raises the question about whether this nuclear envelope budding serves as an alternative mechanism for importing and exporting materials to and from the nucleus. Panagaki et al. investigated whether this method of transport is seen only during viral infection and the development of organisms, or is it a universally-conserved mechanism among all eukaryotes. The authors used a variety of eukaryotic organisms to justify that nuclear envelope budding is an evolutionarily conserved phenomenon. This information was organized into a phylogenetic tree of species with observed nuclear budding events. Electron microscopy and electron tomography images work synergistically to reinforce this idea.
In this paper, the authors use electron microscopy and electron tomography to visualize nuclear envelope budding events in a Homo sapiens cell line (HMC-1 cells), Caenorhabditis elegans, Saccharomyces cerevisiae, Schizosaccharomyces pombe, and Trypanosoma brucei. Three kinds of budding events were visualized in the human cell line: outwards protruding, inwards protruding, and particles in between the double lipid bilayers. The paper states that these nuclear envelope budding events occurred in 12% of the imaged HMC-1 cell nuclear sections. This analysis was done for the rest of the organisms and they all had varying frequencies of nuclear envelope budding occurrences, ranging from 3 to 12% budding events/nuclear section. Outward budding was the most prominent type of nuclear envelope budding event, as depicted by electron tomography. Besides the better z-resolution, the additional benefit of using electron tomography is the detailed membrane morphology provided. These buds were around the same size as the HMC-1 cell derived exosomes this lab had previously identified. The authors hypothesize that the resulting double-membraned vesicles could function as future exosomes. The contents of the vesicle and its trajectory are yet to be determined, so the authors persuade the cellular biology community to continue to study this phenomenon in order to further understand the methods by which molecules move between the nucleoplasm and cytoplasm.
Though this paper’s argument was convincing, the figures were lacking in persuasiveness. For one, it is extremely hard for a reader to see the budding events occurring in the S. cerevisiae and T. brucei electron microscopy images. Although the arrows were helpful in pointing out the budding location, it still proved difficult to visually identify them. On the other hand, Figure 1’s electron microscopy images were very clear and easy to discern. This might be due to the relatively larger-sized buds seen in the HMC-1 cells. Nonetheless, without error bars or statistical analysis, the data seems unsupported and meaningless. I also feel that the bar graphs presented, in Figure 1 for example, are not properly constructed. The labeling is confusing and can be misleading. The authors should consider revising the graphs, as shown below, to clearly demonstrate the number of budding events per nuclear section and the type of budding event observed. Also, it is important to mention the frequency of the sections of nuclear envelopes that contained more than one bud(*). They should further investigate this interesting phenomenon. Another critique I had involved the use of the human mast cell line. Because the other organisms used within this study did not have any apparent underlying diseases, I would have preferred if a healthy human cell line had been used; it decreases the risk of confounding factors possibly affecting nuclear budding events. In future studies, I would like to see the authors investigate the contents and trajectory of the buds, and see if the double membrane is maintained on the vesicle through its journey. It would also be interesting to see data on how often the nuclear pores are used for transport versus nuclear envelope budding. Do certain molecules prefer one mode of transport over the other? If so, why?
References<br /> 1. Panagaki et al., 2018. BioRxiv. <br /> 2. Wild et al., 2009. J Virol. 83(1): 408–419.<br /> 3. Speese et al., 2012. Cell 149(4): 832-846.
On 2018-12-10 10:14:25, user Chengyao Peng wrote:
As a student who is currently studying SBML, I find this article quite helpful and interesting. It gives a good overview of present development and the problem of unstandardized annotation of models across different initiatives among computational modeling communities. The recommendations are wide-ranging and practical. I'm looking forward to see the advances and to know more about how to incent researchers to use this standardized annotation.
On 2018-12-09 21:34:26, user William Kyle wrote:
I would like to applaud Yang et al. for the design of the Shh transfection system. Co-transfecting with GFP provided experimental phenotypes that were easy to compare to controls. This method also provided necessary manipulation of Shh both temporally and spatially. If possible, I would like to see a western blot of Shh in the supplementary figures to conclude that Shh was transfected successfully, instead of relying on indirect transfection of GFP. I think the immunoblot will fill a gap in validating their approach and quantifying the Shh detected immunohistochemically in Figure 1.
My largest critique is the experiment in Figure 5; Yang et al. study how the Shh gradient affects neural progenitor cells via measurement of progenitor cell transcription factors Pax3 and Pax7. The authors cite previous research that Shh overexpression downregulates Pax3 and Pax7 and state Pax3 and Pax7 are downstream targets in the Hh signaling pathway (lines 290-293). If the authors intended to study cell fate of the progenitor cells with Shh overexpression, I do not see how this experiment builds additional knowledge upon the previous data. Furthermore, a stronger design in studying progenitor cell fate would involve an experiment to measure the effect on proteins that are not involved in the Hh signaling pathways. By measuring Shh-independent proteins, the authors would be able to more convincingly demonstrate real changes in cell fate of the progenitor cells rather than affecting downstream targets within the same pathway.
There are several avenues that remain unexplored. The authors measure motor neuron development with over-expression of Shh but do not interrogate their system with a Shh knockdown. I think the knockdown experiment would play a key role in identifying if Shh is truly necessary for proper motor neuron migration and differentiation; I envision a siRNA and GFP co-knockdown system similar to the Shh overexpression system could be used for this study. Additionally, it would be interesting to see if a wider timepoint of Shh induction affects motor neurons in different ways. The authors mention the timing of Shh expression affects the ways in which neural progenitors and motor neurons divide and migrate but results are only shown for E2.5 transfection only. Tackling both of these issues would wholly address Shh’s role in motor neuron positioning in chick spinal cord.
I recommend two changes to the structure of the manuscript and figures to improve the reader’s experience. Firstly, the authors should quantify the immunofluorescence differences between Shh and control in Figures 2 and 3 to better demonstrate the proportion of Map2 and MNR2 cells in the motor columns, respectively. Secondly, the impact of the authors’ study should be written more explicitly in the introduction and reiterated in the discussion sections of the manuscript to assist the reader in incorporating this study into the broader Shh body of knowledge.
One question I have regards the morphology of the spinal cord in the Shh transfected samples: are the enlarged, rounded shapes of the spinal cords in many of the histology images due to the Shh expression or is this an artifact of the sectioning and staining process? Compared to the control animals with narrow slit-like spinal cords, the Shh spinal cords seem like a larger perturbation of morphology than the faulty motor neuron migration. This physical defect was not addressed in the paper but is evident in Figures 1, 2, 4, 5, and 6.
Lastly, Yang et al. do not provide future directions for their research; I would like to see how several unanswered questions from this manuscript might be interrogated in future studies. How do the Shh-overexpression embryos continue to develop at later timepoints? If the embryos are allowed to continue developing, do they hatch? Functional data could support these experiments very nicely. I am not sure how to achieve this functional data, but it would be valuable to employ a method by which the activity of the perturbed motor neurons is measured.
Overall, Yang et al.’s manuscript beautifully shows the effect of sonic hedgehog on motor neuron positioning in chicken embryos. They demonstrate Shh overexpression reduces neural precursor proliferation and causes premature differentiation into motor neurons that do not migrate into the proper motor column. Additionally, the axons of these motor neurons are impaired and do not innervate targets on the contralateral side of the spinal cord. These results begin to elucidate the mechanism by which Shh might provide the spatial information for proper development of the neural tube.
On 2018-12-08 22:02:25, user Wei Zhai wrote:
Dear bioRxiv Team<br /> The manuscript of "Preclinical Study: Sunitinib-suppressed MiR-452-5p Facilitates RCC Metastasis Via Modulating SMAD4/SMAD7/EMT Signals" was posted March 22, 2018 by bioRxiv and right now was published online by Molecular Cancer before few days (Mol Cancer. 2018 Nov 12;17(1):157. doi: 10.1186/s12943-018-0906-x.). Because the primary edition has some mistakes, we add information about corrections here.<br /> 1. The title of the manuscript was corrected as “Sunitinib-suppressed miR-452-5p facilitates renal cancer cell invasion and metastasis through modulating SMAD4/SMAD7 signals”.<br /> 2. In the part of Cell culture and transfection from Materials and Methods, the origin of cell lines was updated as follows: “SW839 cell line was kindly provided by Dr. Chawnshang Chang from George Whipple Lab for Cancer Research, Departments of Pathology, Urology, Radiation Oncology and The Wilmot Cancer Center, University of Rochester Medical Center, Rochester, NY, 14646 USA. The SN12-PM6 cell line was kindly provided by Dr. Qingbo Huang from the Department of Urology, Chinese PLA General Hospital, Beijing, China.”<br /> 3. It’s a shame for us to make mistakes in Fig1F, Fig2H and Fig2J. The pictures here were replaced.<br /> 4. Fig2K and L were deleted, because these results were believed to cause controversy. After careful and cautious discussion in our group, we decided to remove the result of miR-452-5p towards EMT because this result did not affect the overall conclusion in this study.<br /> 5. We made a mistake in the expression that “binding site in the promoter region of SMAD4”, which was corrected as “binding site on the 3’-UTR of SMAD4 mRNA”.<br /> 6. It’s a pity that we made mistakes in Fig4G, and we replaced the wrong picture.<br /> 7. The results in Fig4H were repeated as reviewer advised due to unobvious differences, and the fig4H was updated.<br /> 8. Pictures in Fig6A were misplaced. <br /> 9. As is stated above, The part of EMT was removed from Fig6I for the same reason.<br /> 10. We also added more explanation about SMAD4 and EMT in the discussion part, as follows: “Although it was believed that a complex containing SMAD4 formed by TGF-β stimulation was translocated into the nucleus, then EMT was induced. However, data from TCGA database showed that SMAD4 was downregulated in RCC tissues compared with normal tissues and patients with lower SMAD4 levels had worse overall survival time.”<br /> 11. We added more explanation about mechanistic pathway of how the tyrosine kinase inhibitor could down regulate miR-452-5p in the discussion part, as follows: “ Notably, the mechanistic pathway of how the tyrosine kinase inhibitor could down regulate miRNA-452-5p remained unclear. It’s a pity that we did not conduct further study on this mechanism. However, a previous study from our team confirmed that Sunitinib repressed RCC progression via inducing LncRNA-SARCC, which gave us a hint that some LncRNAs might get involved in the progress. On the other hand, some transcription factors like HIF1α might be responsible to Sunitinib treatment as well. From the above, the tyrosine kinase inhibitor might downregulated miRNA-452-5p through non-coding RNAs or transcription factors.”<br /> We apologize for these unintentional mistakes which occurred due to transfer a large amount of data between two institutes (Renji Hospital, School of Medicine in Shanghai Jiao Tong University and Shanghai Tenth People’s Hospital, Nanjing Medical University) with two different computers during figures preparation from two co-first authors, and fortunately we could find these errors.<br /> Yours truly,
Wei Zhai and Saiyang Li (Co-first authors)<br /> Wei Zhai, Wei Xue and Yunfei Xu (Co-corresponding author)
On 2018-12-08 10:29:33, user Doran Kabaratic wrote:
Oustanding work by Cascales and co. To my knowledge that's the first description of interaction between the T9SS and its effectors.
On 2018-12-08 02:52:01, user Christoph Nowak wrote:
"... 15% lower risk of coronary heart disease (OR 0.87 ..."<br /> - 13% ?<br /> - I've also been wondering if we shouldn't usually write x % lower odds (OR ..., instead of risk (guilty myself)?
On 2018-12-07 23:52:17, user ist wrote:
You need to make the ADMIXTUREs with K=2-15 (and qpAdms with 6-7 populations common for all items).
On 2018-12-07 22:49:03, user Sarah wrote:
The conclusions that the authors draw is this paper are convincing as they utilize a variety of methodology to confirm the identity of the extracted bone marrow cells as MSCs as well as confirm the identity of the RA treated MSCs as differentiated germ cells. Through the use of immunochemical staining, FACS sorting, and RT-PCR the authors are able to provide confirmation of the identity of their cell populations with confidence. Although the identity of the cells was predicted with a variety of methods, their confidence in these cell populations could be improved with the inclusion of quantitative RT-PCR data, more concise immunocytochemistry data presentation, and the inclusion of control rat cell lines with confirmed MSC and germ cell identity. These critiques will be further elaborated upon later in this review. A strength of the study was that the authors were able to present the impact of their research not only from the perspective of stem cell research, but also from the perspective of fertility contributions. The authors also suggest the application of their differentiation technique to different animal species for fertility purposes. However, the authors suggested in the abstract that there is therapeutic potential for these differentiated germ cells without providing any evidence of this therapeutic implication. In analyzing the discussion section of this manuscript, much of the content included is redundant to other sections of the paper, namely the results section. Additionally, the discussion does not provide a concise conclusion to summarize the activities of this study and any open questions that are of interest to investigate in the future.<br /> Although I feel that the utilization of a variety of experimental methods to determine the identity of the cell types in this paper assisted in establishing confidence in the authors’ finding of differentiating germ cells from MSCs, I felt that there could have been alterations to their experiments to further strengthen their argument. In Figure 1Bb, the authors present an image of their CFU assay which was conducted for the purpose of demonstrating the proliferative capacity of the rMSC cells. Although the image presented demonstrates the formation of clones from a single cell, I would have expected a positive CFU assay to present a larger number of colonies. As the calculated population doubling time in Figure 1Ba demonstrates these cells to be highly proliferative, I particularly would have expected the CFU assay image for the rMSCs to have a larger density of cells to have confidence in the highly proliferative nature of these cells and their ability to self-renew. In Figures 1C and 3A, immunocytochemistry staining is used to identify MSC and germ cell markers respectively. The authors claim that they were able to identify the markers they were seeking; however, as there is an absence of a control that identifies a marker that is not characteristic of the desired cell type (rMSC and rat germ cells respectively) (i.e. CD45 or CD19), it is challenging to determine if these markers are actually unique to the cell type in question. Additionally, the lack of description of the fluorochromes make it challenging to interpret the result the authors are hoping to conclude. To identify cell types of interest, the authors also used FACS sorting for surface markers for MSC and germ cells in Figures 1D and 3B respectively. Similarly to the immunocytochemistry figures, I feel that the inclusion of a control of a marker that is not expressed in the germ cell type of interest would have been helpful to determine what signal could be produced due to overall fluorochrome background. Additionally, these figures would have benefitted from a control FACs sorting where cells from a commercially available rMSC cell line are sorted for CD 73, CD 90, and CD 105 and rat germ cells, such as semen collected from caudal massage, are sorted for stella and fragilis. These negative and positive controls respectively would be able to provide confidence in the identity of these differentiated cells as what is expected. Additionally in Figure 3B, the argument that the isolated cells are in fact germ cells could have been strengthened through identification of populations of germ cells that are double positive for stella and fragilis markers. The inclusion of this FACs plot would have strengthened the authors argument because it would have been able to identify the total population of differentiated germ cells. This figure could have also benefitted from FACs sorting with MSC markers, such as CD 73, CD 90, or CD 105 as controls to identify how many cells in the population did not differentiate into germ cells after RA treatment for 21 days as a means of understanding the differentiation efficiency and proposed method optimization. <br /> The purpose of Figure 2 is to demonstrate the morphological differences of rMSCs when treated with Retinoic Acid (RA) to differentiate into germ cells. To strengthen the argument that this morphology change is not purely due to an effect of the RA, a control rat non-MSC line should have been treated with RA to confirm that the morphological changes are not purely caused by the presence of RA in the culture, but are in fact a result of differentiation. Additionally, the authors mention that high concentrations of RA influence germ cell differentiation, whereas lower concentrations promote smooth muscle and myocardial cell differentiation; however, the concentration of RA utilized was not offered in the paper. I would have liked to see a concentration gradient study incorporated into Figure 2 to determine the concentration of RA necessary to differentiate MSCs into germ cell morphology, and thus characterization. In addition to immunocytochemistry staining and FACs sorting of cells, the identity of the cell populations in this study was confirmed through RT-PCR. The authors present their data in Figures 1E, 3C and 3D in the form of gel electrophoresis images; however, I feel their gene expression data could have been better represented as qRT-PCR data. Quantitative evidence of the presence of these genes in the cell populations would have strengthened the arguments proving the identity of the cells. As it is challenging to observe the relative abundance of a particular gene in gel electrophoresis images, qRT-PCR would enhance the observation of cell marker genes quantitatively. As the authors are using these gene expression profiles to draw critical conclusions in regard to their cell types and differentiations, it is necessary to provide quantitative reasoning for these identifications. Overall, I felt that this paper was able to demonstrate that rMSC cells are able to differentiate into germ cells using retinoic acid treatment over 24 days using a wide variety of methodology; however, I feel that these metrics need to be strengthened through the use of increased controls and variations of these metrics for further applications in fertility of extinct and elite animal species.
On 2018-12-07 19:14:22, user Peter Rogan wrote:
This work has now been published in F1000 Research:<br /> https://f1000research.com/a...
On 2018-12-07 18:42:43, user Jee Francis Therattil wrote:
Where can I read the full article?
On 2018-12-07 14:50:48, user Julien Lagarde wrote:
Dear authors,
thanks for posting this preprint. I would like to make a suggestion. <br /> With regard to Fig 2C ("Base level precision and sensitivity for isoform assembly [...]"), I think it would be useful to report the sensitivity/precision of FLAIR and Mandalorion at the intron chain and transcript levels as well. These are very meaningful metrics in the context of transcriptome analysis/annotation.<br /> Best regards,<br /> Julien Lagarde
On 2018-12-07 05:53:11, user Michael Inouye wrote:
Thank you all for a really engaging paper! It's generated a lot of interest and was widely read in my lab so we decided to do a review together. Hopefully our comments are useful, so I've pasted them below:
Overall comment: Population stratification is a form of confounding, i.e. we cannot easily disentangle whether the apparent genetic association with phenotype is (i) due to true aetiology (ii) due to simply tagging different sub-populations/ancestry with different 'environment'/lifestyle factors that are unrelated to aetiology or (iii) a mix of both. Further, if we see an association of polygenic scores with principal components or ancestry, this does not *in itself* (without further analysis/evidence) mean that it is only confounding by ancestry and not true aetiological signal.
MAJOR COMMENTS:
It's known that polygenic scores exhibit geographical variation, which can be due to genotype frequencies and/or the per-variant polygenic score weights being correlated with geography/ancestry. If the polygenic score is confounded, the target dataset has population structure correlated with the phenotype, and there is sample overlap between training and target dataset, it becomes very difficult to disentangle. Simulations under various scenarios could provide some more concrete insight here.
Overlapping samples are a major and well-known biasing factor (overfitting). Please clarify if the first part of the Results (pg 5 - 14; Tables 1, 2; Figures 1-4) pertaining to the GIANT-based polygenic score(s) include overlapping FINRISK samples in the derivation and target datasets (N~2,300). The removal of all overlapping samples is necessary for eliminating this bias, and it is common to do this before performing subsequent analysis. Pg 15, paragraph two appears to try to address this point (or estimate how much overlapping samples are biasing the analysis) but is not really persuasive: increasing the overlap doesn't tell one how much the (unquantified) existing overlap is biasing the results. Our experience is that small overlaps can lead to (sometimes substantially) inflated effect size estimates. Without more in-depth investigation of the effects of the overlapping samples it is not possible to properly assess whether the inflation in prediction is primarily due to population stratification or sample overlap.
It is common for polygenic score prediction analyses to adjust for genetic PCs (typically the top 3-10 or more PCs). From pg. 27 "Phenotypic differences predicted by PS", it seems that the when the scores are used to predict the phenotype, there is an adjustment for sex, age, and age^2 (and BMI for WHR). It's not clear whether also adjusting for PCs *in the target dataset* (FINRISK) eliminates/reduces the apparent stratification exhibited by GIANT-height (i.e., the 3.5cm west-east difference). This is important because if we can adjust the score with PCs and fix the issue, that would reduce the severity of this problem and we could use existing scores. If even adjusting for PCs doesn't remove stratification, this would potentially require deriving new scores which is more difficult (especially if only summary statistics are available).
Besides population stratification and sample overlap, another potential reason for the apparent large estimates for height by the GIANT height score is that GIANT is a meta-analysis of different cohorts, each of which could possibly have had slightly different QC or imputation, and/or different adjustment for potential structure. Since the contributing cohorts are typically of different ancestry, these small differences could accumulate and indirectly contribute to further confounding with ancestry. In comparison, UKB is more ethnically homogeneous and genotyped+imputed all in essentially the same way. This may help explain why the GIANT height score shows such extreme differences between east and west Finland (in absolute terms) and why even selecting SNPs with P>0.5 still has some association with height (but not for UKB).
MINOR COMMENTS:
Are all the scores approximately normally distributed in FINRISK or could there be outliers that could potentially exacerbate the apparent east-west difference?
On a practical level, some things that could be done to assess score for stratification:
Adjusting the score PCs in the target dataset and assessing whether the association with the phenotype is substantially changed (usually attenuated) as a result. Another alternative is using (generalised) linear mixed models in the target dataset to adjust for relatedness/structure, though this can become difficult for a large dataset (e.g. UKB).
It has been pointed out by others that Finland is actually genetically heterogeneous relative to other even European populations (e.g. PC1 vs PC2 in 1000 Genomes). In addition to the above, it would be useful to know how the relative heterogeneity of the Finnish population affects the conclusions.
The manuscript doesn't say that *all* scores are biased/confounded, however it's important to acknowledge this and make clear that polygenic score analyses need to be acutely cognizant of these issues. The preprint ultimately shows the importance of evaluating each score for population structure, as different scores can show substantially different levels of stratification on the same dataset.
On 2018-12-07 04:06:32, user Shreyas Kumbhare wrote:
The article very well outlines the core gut microbiota of the highly heterogeneous Indian population based on the data generated from the LogMPIE study. It is evident from the analysis that the Indian population is highly heterogeneous in nature (here, in terms of the microbiome), as also seen in previous studies. However, the core microbiome analysis reveals a surprising fact that the Genera such as Prevotella remains the predominant organism across all the subjects, irrespective of the geographic location. This clearly indicates an urgent need to design a study, to get a comprehensive understanding of the physiology and metabolism and their association with the diet.
Considering the fact that, the factors such as diet and environmental conditions govern the process of shaping the human microbiome (substantially more than the other factors studied in the past decade), obtaining this information is of utmost importance and should have been collected and included in the study design. As rightly mentioned in this article, dietary habits possess a great potential, to act as a factor to explain the variation in the population under study.
It is also to be noted that the Indian population is largely shaped by factors such as ethnicity, climate and agricultural practices which has led to a highly heterogeneous population structure spread across different provinces. This gives rise to a question whether the data should be analyzed in a sequential manner, first at the regional level (within a specific agro-climatic zone) and then at the pan-India level?
This analysis also very elegantly points out the differences in the pattern of influence of obesity (or using the BMI norms to define obesity in India) on microbiome in Indian population as compared to the western population. This also clearly indicates the need of re-visiting the clinical guidelines that are followed to define disease conditions in the highly heterogeneous and distinct (as compared to western population) community such as the Indian population.
On 2018-12-07 00:33:56, user Olivia Wen-Mei Lang wrote:
Hi, I think there's a minor typo on pg 8/65, last paragraph, last sentence in the section right before "Closely related strains reflect..." The sentence reads "However, the evolutionary interpretation of these *closely strains* remains unclear."
On 2018-12-06 22:50:20, user Haloom wrote:
Thanks for posting this! I am wondering if the supplementary information is available any where?
On 2018-12-06 19:18:02, user Kevin Davy wrote:
I didn't see mention of the breed of any of the dogs. Any indication the lab retrievers respond to food more than praise? Could be some genetic basis for this...pomc mutations?
On 2018-12-06 12:49:07, user Anne Carpenter wrote:
Super interesting article! The axes should be better labeled on several plots, and acronyms used less because it was a bit hard to follow. Thanks for doing this study and giving food for thought.
On 2018-12-06 11:08:08, user Elmar Tobi wrote:
Dear all, this article has now been published at Cell Reports: https://www.cell.com/cell-r...
On 2018-12-06 06:25:17, user Sam Diaz-Munoz wrote:
**<br /> This review was conducted by the Díaz-Muñoz Lab, as part of a pre-print journal club (inspired by Prof. Prachee Avasthi’s journal club: https://asapbio.org/preprin.... We provide the review in the best spirit of open science and to contribute to the virology field.<br /> -Sam Diaz-Munoz, Ilechukwu Agu, Sari Mäntynen, Alex Wilcox, Ivy José<br /> **
This manuscript aims to quantify the contribution of influenza virus genetic variation to the observed heterogeneity of virus infection outcome. The experiments first enriched for interferon activated cells (which are rare in normal infections), then infected with well-characterized viral stocks, and finally characterized the full genotypes and transcriptomes of all viral genes present within single cells. This transcriptomic data is used to derive the viral transcriptional burden on cells and to quantify innate immune activation (IFN, ISG) on a per-cell basis. The genotype data provides information on mutations, deletions, and other changes in the viral genome(s) that infected those same cells. The results from these two data sets show that a majority of cells infected by viruses with mutations are IFN+ compared to cells infected by wild type viruses, but this difference was not statistically significant. Further analysis shows statistically significant associations with IFN+ cells and specific mutations, particularly in segments PB1 and NS1. Some of these mutations were engineered into viruses and experiments showed that 5/8 of these mutations increased the percentage of IFN+ cells relative to wildtype, with the greatest effect mutation yielding ~17% IFN+ cells.
This paper presents leading edge methods to investigate the outcomes of viral infections at the single cell level. A major strength of the text is the explanation of the methods, which briefly and very clearly explains the overall methodology with plenty of supplementary information. The presentation of results and data is clear, with increasing levels of detail in the multiple supplements. The data in Figure 4 certainly represent a milestone in the influenza virus field, made all the more impactful by the exquisite presentation.
This manuscript could be improved by contextualizing the statistical significance and magnitude of the observed effects with regard to the role of viral genetic variation in the heterogeneity of innate immune activation. In a few sections, some words could be interpreted by readers as an overstatement of the support of the data for this topic. We present specific suggestions (see Major Comment 1) to improve this aspect of the text. The abstract could clarify the background of interferon in the context of influenza infection for readers not familiar. Finally, a summary figure tracking the overall results (see Major Comment 1) might benefit the reader.
Overall, we find this manuscript highly stimulating and useful for the innovation in the methods. We anticipate some aspects of this paper (esp. Figure 4) will become textbook knowledge in influenza virology. This paper is an exciting contribution to the influenza field, and indeed the broader virology community, which is currently characterizing viral infection dynamics in increasing detail.
Major comments:
First, some of the language in the discussion and abstract should be qualified to benefit the reader’s understanding (e.g. the word “crucial” in Line 286-287). Second, the data in Figure 3G can be used to provide some context showing that viral infection indeed increases the proportion of IFN+ cells, relative to uninfected cells. This result can also be highlighted with a statistical test of these proportions and the discussion could expand on how cell state could influence spontaneous IFN activation. Third, it may be helpful to conduct a post-hoc power test of data in Fig 5B to assess whether there was enough power to detect a significant difference between these proportions (0.184 and 0.306) given the sample size imposed by the single cell methodology. Fourth, it may be worth placing more emphasis on the fact that although the stated NS1 and PB1 mutations were well known to activate immunity, this is (if we are not mistaken) the first characterization at the single cell level. Finally, the discussion should place more emphasis on the fact that although IFN activation is rare, it could affect the course of the entire infection when founding infection size is small.
Additionally, it would be very useful to have a single figure that summarizes the major results addressing the central question of the paper. This figure could summarize the infected/uninfected proportions, immune activation/genotypes, and specific mutations that impact IFN, thus tracking the broad outlines of the full experiment. Readers may get lost in the rich data and helpful figures, which could dilute the main message of the text.
We find Figure 4 a very interesting and effective figure. It is an accomplishment in both experimental methods and data visualization. I (Sam Díaz-Muñoz) anticipate routine use of this figure in the classroom and we expect it will become textbook knowledge in virology.
There are a couple of terms used throughout the paper that could be substituted or clarified to benefit the reader. Viral infection outcomes is used throughout, but it is not always clear what this term refers to. In the context of the paper, the two measured infection outcomes we found were mRNA levels and immune state. If this is the case, “expression and immune state” is only one more word and provides flexibility to refer to one or the other.
The second term is the reference to mutations, deletions, and other modifications from “wild-type” as defects. While this is certainly commonplace in genetics and is convenient shorthand, it does have a connotation of being uncommon and negative. As Figure 4 so exquisitely shows (among many, many other studies), this heterogeneity is probably the norm for influenza viruses. As Brooke (2014) and many others have advocated, as a field we perhaps should be moving towards investigating and recognizing this heterogeneity as a standard part of influenza virus biology.
Minor Comments:
Line 16 - This line could be confusing to some readers if they do not have the background (stated well in the Introduction line 32) that influenza virus is very good at preventing IFN induction.
Line 37 - For the introduction, this statement could be written with more accessible language, paralleling the wording in the discussion (Lines 325-332), which is very understandable.
Line 41 - This paragraph could perhaps more appropriately start by discussing NS1’s well known role in suppressing IFN, setting a baseline for what the expectation should be. This could better contextualize the results for readers not familiar with influenza virus immunology.
Line 87 - To benefit the reader, the text could indicate (as done in Fig1 Supp4) that the Sendai infection was done at high MOI to validate the IFN activation of cells. As written may not be clear if text is still referring to Steuerman data.
Line 106 - May want to spell out IFN negative, instead of IFN-, some readers found it easy to miss the - sign
Line 201 - This is a really nice summary of the criteria used to call mutations and a frank assessment of the limitations of the approach
Line 216 - A very nice figure, with a wealth of information, indeed
Line 226 - A “favorable outcome for the virus” could be interpreted as increased viral replication, which doesn’t necessarily follow from the proportion of viral mRNA expressed in the cell.
Line 235 - “Also” is confusing in this context. Delete if retains intended meaning, otherwise should be rephrased
Line 325 - This paragraph is a really good discussion of the importance of IFN+ cells in light of the fact that they are very rare in influenza infection.
Line 431 - This section is a very detailed description of the methods. Highly useful for the community.
Line 608 - The computational analyses are helpfully described and the full pipeline is open and available in GitHub and explained in several Jupyter Notebooks
On 2018-12-05 12:29:05, user Ken Cameron wrote:
The NMR spectra are consistent with GDP loading. The 15N HSQC would be quite different for GMPPnP. Residues for most of switch I and II are not assigned for GMPPnP loaded KRas. The assignments of A18, S39 and I55-D57 all correspond to KRas.GDP literature and are not assigned for KRas.GMPPnP due to the well documented ms dynamics of this loading state. HSQC spectra would be fairly straight forward to fully assign from literature assignments. <br /> This paper should be corrected with full assignments and text and figures labelled as KRas.GDP.
On 2018-12-05 09:19:23, user Julien Racle wrote:
Hi,<br /> great paper, a thorough and fair comparison of the deconvolution methods was indeed needed.
One important question that also arises in the field is to what extent the reference profiles that have been derived from tumor-infiltrating lymphocytes that infiltrate one tumor type (e.g. melanoma) can be used for samples from another tumor type (e.g. ovarian cancer), or even if reference profiles derived from blood are sufficient. In the paper from Schelker et al., Nat. Com., 2017, they argued that it was important to use reference profiles coming from the same tumor type than the bulk.<br /> But from your data it seems that it doesn't really matter so much (as most methods have reference profiles derived from blood or melanoma TILs and your analysis includes also ovarian tumors (in this optic, EPIC could additionally be tested with the blood-derived reference profiles)). To further verify this, it would therefore be interesting if you build some mixes where you take only the cells that originated from one of the tumor type at a time instead of mixing together the TILs from melanoma and ovarian.
Additionally, CAFs and endothelial cells have been less studied by the deconvolution methods, but due to their potential importance in cancer, it could be nice to include them also in your table 2, to help researchers interested by these cell types.
Best wishes,
Julien
On 2018-12-05 09:02:56, user Ken Cameron wrote:
Would be great to see some more biophysical data on these compounds to show direct binding to KRas. MST can be quite fickle. NMR would show clearly if they are binding and if they are sub micromolar (expect slow exchange). The crystallography shudl also be straight forward for compounds with this affinity. Lots of other compounds out there that claim direct Ras binding that turn out not to bind to Ras!!
On 2018-12-04 22:35:22, user Luciano Takeshi Kishi wrote:
Congratulations, the research project is very interesting.....
On 2018-12-04 21:43:20, user Mahmuda Sultana wrote:
As a student of Life Science Informatics, I have found this article very useful for me. It nicely explains the importance of FAIR principle along with the history of data life cycle in present and past as well. Importantly, it emphasizes on data storing and sharing for long-term purpose, that attracts me very much. However, you mentioned about Data Management Plan, and I would like to ask you, is it the same like, NFS Data Management Plan or it is a different approach from you?<br /> Thanks for such a great work!
On 2018-12-04 19:06:52, user R. Rocca wrote:
Is the supplementary material missing?
On 2018-12-04 17:26:29, user Theodor Savvidis wrote:
Fascinating work! I want to know more about the function of HD domain...
On 2018-12-04 06:06:20, user murtaza wrote:
Your post is very unique and reliable information for all readers so write more on same topic and share with us your info. Thanks
On 2018-12-04 02:37:46, user Ronin Attorney wrote:
Beautiful work. Put in an inducible promoter in the T Gondi dopamine generating gene and you will provide an effective treatment for Parkinson’s.
On 2018-12-03 19:38:19, user Florian Breitwieser wrote:
Now published under the name KrakenUniq at Genome Biology: https://genomebiology.biome...
On 2018-12-03 12:03:22, user Seamus Holden wrote:
As of 03/12/2018 there is a bioRxiv technical issue preventing viewing of the latest version of the supplementary material of this manuscript. As a temporary solution, the latest SI may be viewed here: https://t.co/a9LPu8oAFB.
On 2018-12-02 12:33:01, user Alsam wrote:
This is an interesting paper in relation to the ultimate development of a probiotic therapy for acne or other skin conditions. Some initial points for consideration at this stage are:
It would be very useful to also state what the SLST genotypes relate to in terms of phylotypes. This would be very convenient for the reader.
The SLST metagenomic method was originally developed and used with the Roche 454 NGS platform. The SLST amplicon is 612 bp in length and the target allele sequence 484 bp. The Miseq platform will not be able to accommodate the 612 bp read length (2 x 300 bp) so the authors must have adapted the method but no details of new primers and target size etc is given within the strain genotyping section which is disappointing. This should be described in the methods section if researchers are to attempt to replicate their work.
Also, more information on the computational pipeline should be given.